| Region | District | Tehsil | UC | Abandon | Level | BEMIS | Latitude | Longitude | Budget |
|---|---|---|---|---|---|---|---|---|---|
| 5 | Naseer abad | D.m.jamali | Bedar | No | Primary | 17834 | 28.537477 | 68.13702 |
| PTSMC Notified | Land Mutation | PTSMCTrained | School Opening Date | Initial Enrollment | BEMIS Alloted |
|---|---|---|---|---|---|
| Yes | Yes | 5 | 2016-10-27 | 45 | Yes |
| Fitness/Topgraphic Survey | Water Test | Soil Test | D/ND Test | Completion Certificate | Current Stage |
| Yes | Yes | Yes | N/A | Yes | 5 |
| Furniture | Blackboard | TLM Kit | ECE Supply | ECE TLM | Wash Kit | First Aid | Sports Goods | Labortory | ICT Supply |
|---|---|---|---|---|---|---|---|---|---|
| Yes | Yes | Yes | Yes | Yes | Yes | Yes | No | No | No |
| Class Name | Attend Reg Girls | Attend Reg Boys | Attend Reg Total | Head Count Girls | Head Count Boys | HeadcountTotal |
|---|---|---|---|---|---|---|
| Kachi | 7 | 37 | 44 | 7 | 19 | 26 |
| Class 1 | 1 | 7 | 8 | 1 | 3 | 4 |
| Class 2 | 4 | 3 | 7 | 2 | 3 | 5 |
| Class 3 | 0 | 0 | 0 | 0 | 0 | 0 |
| Class 4 | 0 | 0 | 0 | 0 | 0 | 0 |
| Class 5 | 0 | 0 | 0 | 0 | 0 | 0 |
| Total | 12 | 47 | 59 | 10 | 25 | 35 |
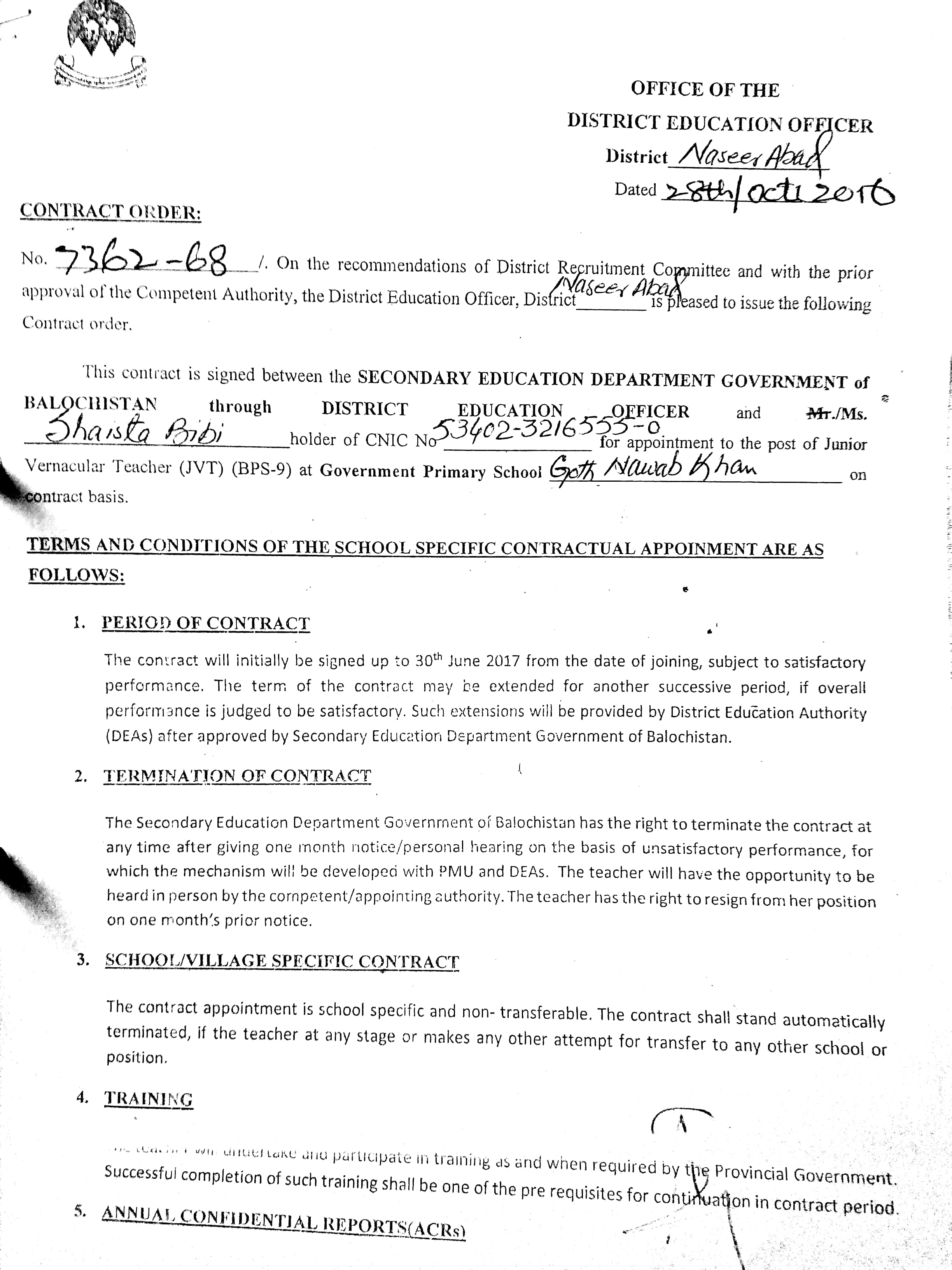
| Teacher's Name | Father's Name | Husband's Name | Post | Academic Qualification | Professional Qualification | Contract Award | Date Of Joining | Trained On PTSMC | Trained On Domain |
|---|---|---|---|---|---|---|---|---|---|
| SHAISTA BIBI | NAIK MUHAMMAD | JVT | P.T.C | Yes | 2016-10-24 | Yes | |||
| Raheela Bibi | Sain Dad | Ashiq Ali | JVT | fsc | PTC | Yes | 2017-02-20 | Yes |
| Name | Designation | Contact | Trained |
|---|---|---|---|
| Abdul Hameed Khan | President | 03462310354 | Yes |
| Muhammad Murad | Vice President | 03443150360 | Yes |
| Shaista Bibi | General Secretary | 03441838104 | Yes |
| Fazal-ul-Haque | Finance Secretary | 03463419157 | Yes |
| Musian Raza | Member | 03472262298 | Yes |
Notiļ¬cations
Land Mutation
PTSMC Member Notification
Teacher Contract
Construction Works Stage Wise Updates
Stage-1
Stage-2
Stage-3
Stage-4
Stage-5
Handing Over Certificate
GRN Notiļ¬cations
Furniture GRN Notification
Classroom Articles GRN Notification