| Region | District | Tehsil | UC | Abandon | Level | BEMIS | Latitude | Longitude | Budget |
|---|---|---|---|---|---|---|---|---|---|
| 2 | Lasbela | Bela | Kathore | Yes | Primary | 17714 | 26.2513 | 66.2471 |
| PTSMC Notified | Land Mutation | PTSMCTrained | School Opening Date | Initial Enrollment | BEMIS Alloted |
|---|---|---|---|---|---|
| Yes | Yes | 5 | 2017-08-23 | 80 | Yes |
| Fitness/Topgraphic Survey | Water Test | Soil Test | D/ND Test | Completion Certificate | Current Stage |
| Yes | Yes | No | Yes | Yes | 5 |
| Furniture | Blackboard | TLM Kit | ECE Supply | ECE TLM | Wash Kit | First Aid | Sports Goods | Labortory | ICT Supply |
|---|---|---|---|---|---|---|---|---|---|
| Yes | Yes | Yes | Yes | Yes | Yes | Yes | No | No | No |
| Class Name | Attend Reg Girls | Attend Reg Boys | Attend Reg Total | Head Count Girls | Head Count Boys | HeadcountTotal |
|---|---|---|---|---|---|---|
| Kachi | 47 | 33 | 80 | 43 | 30 | 73 |
| Class 1 | 3 | 7 | 10 | 3 | 6 | 9 |
| Class 2 | 0 | 0 | 0 | 0 | 0 | 0 |
| Class 3 | 0 | 0 | 0 | 0 | 0 | 0 |
| Class 4 | 0 | 0 | 0 | 0 | 0 | 0 |
| Class 5 | 0 | 0 | 0 | 0 | 0 | 0 |
| Total | 50 | 40 | 90 | 46 | 36 | 82 |
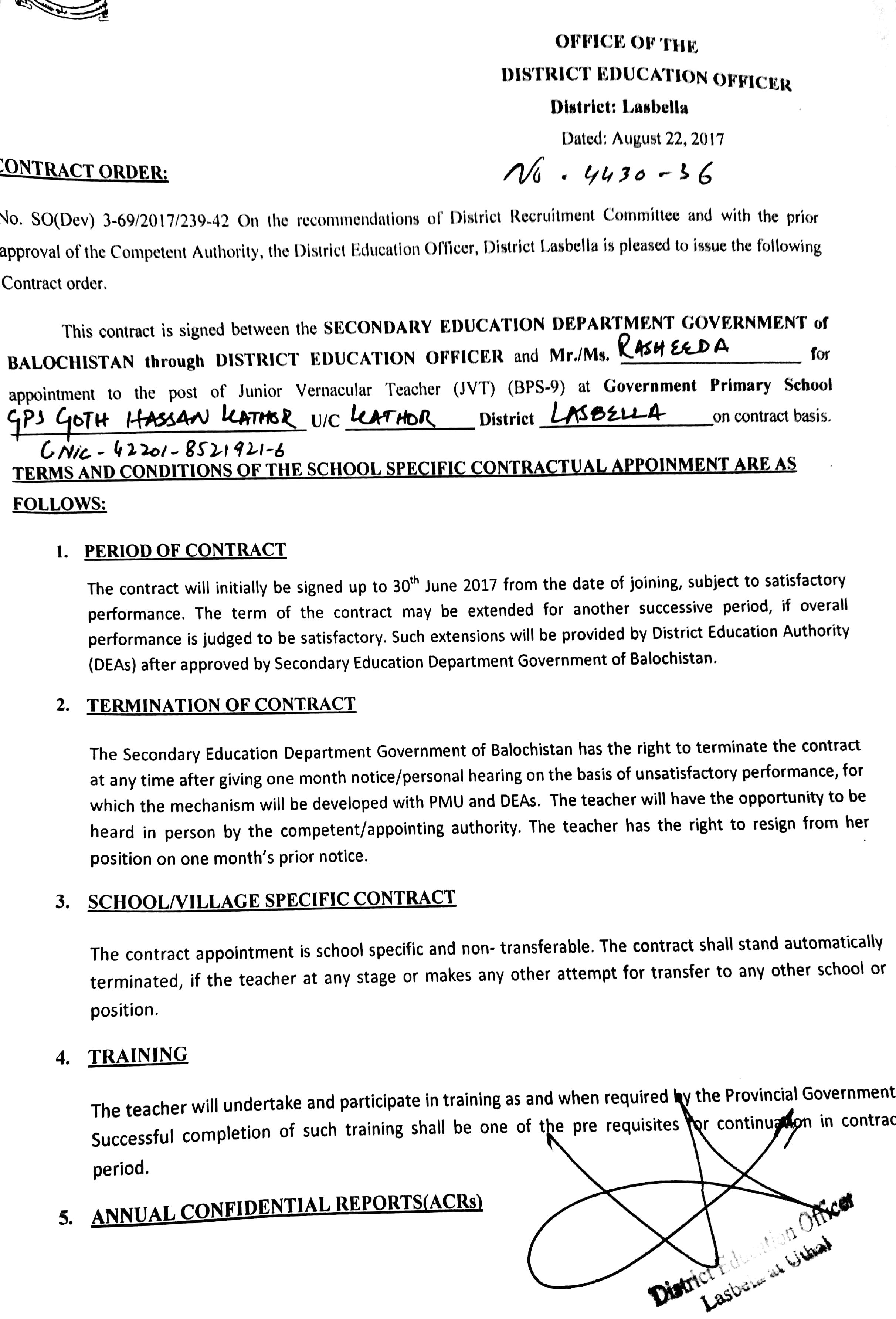
| Teacher's Name | Father's Name | Husband's Name | Post | Academic Qualification | Professional Qualification | Contract Award | Date Of Joining | Trained On PTSMC | Trained On Domain |
|---|---|---|---|---|---|---|---|---|---|
| Rasheeda | A.Khaliq | JVT | Intermadiate | Yes | 2017-08-24 | Yes | Yes | ||
| Farida Bibi | Mohammad Ibrahim | JVT | Graduation | Yes | 2017-08-24 | Yes |
| Name | Designation | Contact | Trained |
|---|---|---|---|
| Essa | Chairman | 3132078990 | Yes |
| rashida | General Secretary | Yes | |
| Muhammad Hussain | Finance Secretary | 30382763384 | Yes |
| Muhammad Hashim | Member | Yes | |
| Muhammad Saleem | Member | Yes |
Notiļ¬cations
Land Mutation
PTSMC Member Notification
Teacher Contract
Construction Works Stage Wise Updates
Stage-1
Stage-2
Stage-3
Stage-4
Stage-5
Handing Over Certificate
GRN Notiļ¬cations
Furniture GRN Notification
Classroom Articles GRN Notification