| Region | District | Tehsil | UC | Abandon | Level | BEMIS | Latitude | Longitude | Budget |
|---|---|---|---|---|---|---|---|---|---|
| 6 | Chaghi | Dalbandin | Chagai | Yes | Primary | 17416 | 29.322502 | 64.676873 |
| PTSMC Notified | Land Mutation | PTSMCTrained | School Opening Date | Initial Enrollment | BEMIS Alloted |
|---|---|---|---|---|---|
| Yes | Yes | 5 | 2017-03-10 | 74 | Yes |
| Fitness/Topgraphic Survey | Water Test | Soil Test | D/ND Test | Completion Certificate | Current Stage |
| Yes | Yes | No | Yes | Yes | 1 |
| Furniture | Blackboard | TLM Kit | ECE Supply | ECE TLM | Wash Kit | First Aid | Sports Goods | Labortory | ICT Supply |
|---|---|---|---|---|---|---|---|---|---|
| Yes | Yes | Yes | Yes | Yes | Yes | Yes | No | No | No |
| Class Name | Attend Reg Girls | Attend Reg Boys | Attend Reg Total | Head Count Girls | Head Count Boys | HeadcountTotal |
|---|---|---|---|---|---|---|
| Kachi | 40 | 30 | 70 | 29 | 20 | 49 |
| Class 1 | 26 | 20 | 46 | 18 | 16 | 34 |
| Class 2 | 8 | 2 | 10 | 6 | 2 | 8 |
| Class 3 | 0 | 0 | 0 | 0 | 0 | 0 |
| Class 4 | 0 | 0 | 0 | 0 | 0 | 0 |
| Class 5 | 0 | 0 | 0 | 0 | 0 | 0 |
| Total | 74 | 52 | 126 | 53 | 38 | 91 |
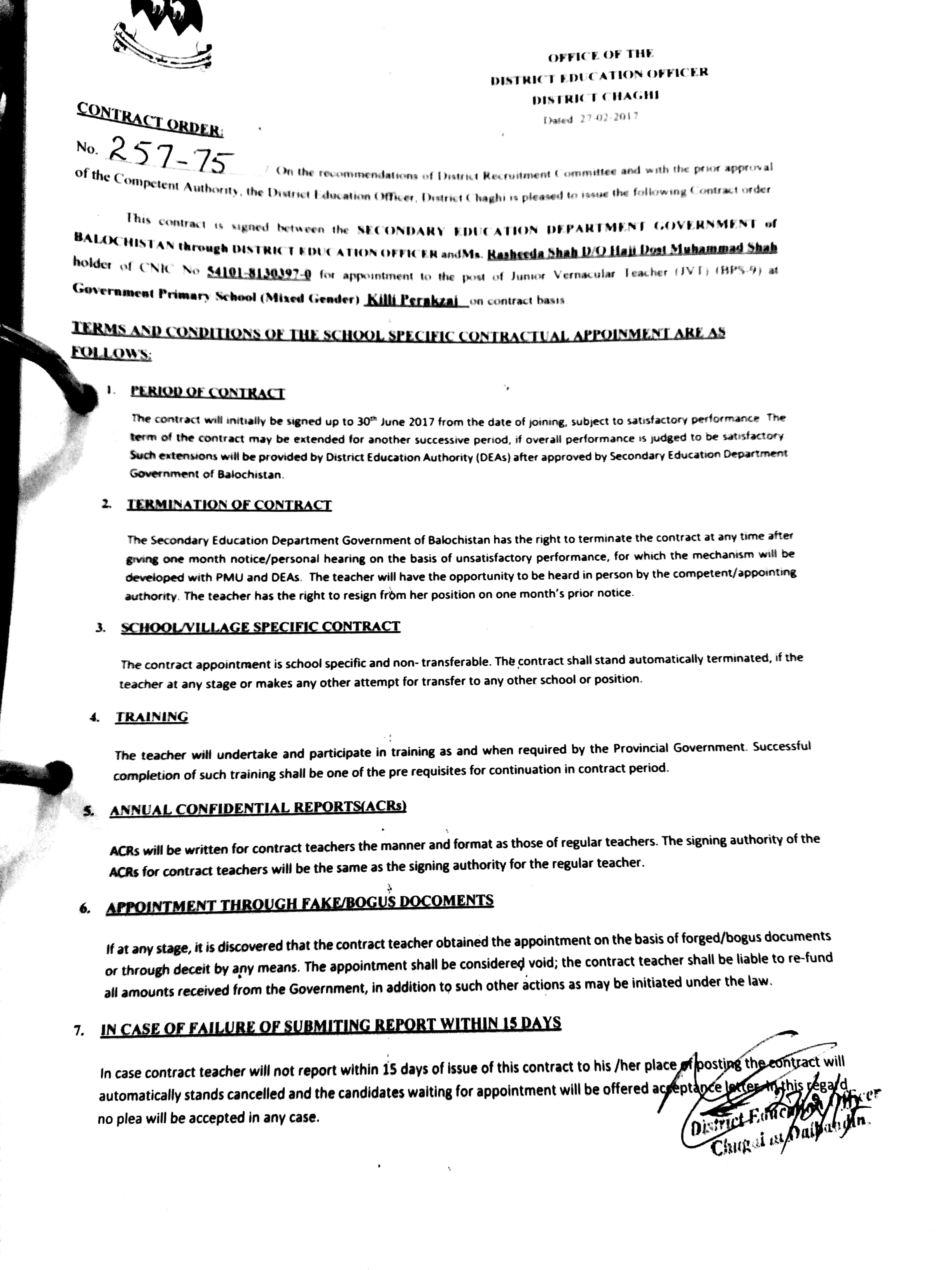
| Teacher's Name | Father's Name | Husband's Name | Post | Academic Qualification | Professional Qualification | Contract Award | Date Of Joining | Trained On PTSMC | Trained On Domain |
|---|---|---|---|---|---|---|---|---|---|
| Rasheeda shah | Dost mohammad | JVT | BSC | CT | Yes | 2017-03-13 | Yes | Yes | |
| fehmeda Dost mohamad | Dost mohammad | JVT | Yes | 2018-03-02 | Yes | Yes |
| Name | Designation | Contact | Trained |
|---|---|---|---|
| Aaqil Shah | President | 03318934605 | Yes |
| Malik gul shah | v President | Yes | |
| zahid shah | G,Sec | Yes | |
| Qadir bakhs | Finance | Yes | |
| Rasheda shah | Member | Yes |
Notiļ¬cations
Land Mutation
PTSMC Member Notification
Teacher Contract
Handing Over Certificate
GRN Notiļ¬cations
Furniture GRN Notification
Classroom Articles GRN Notification