| Region | District | Tehsil | UC | Abandon | Level | BEMIS | Latitude | Longitude | Budget |
|---|---|---|---|---|---|---|---|---|---|
| 6 | Chaghi | Dalbandin | Chilgazai | Yes | Primary | 17415 | 28.818152 | 63.707747 |
| PTSMC Notified | Land Mutation | PTSMCTrained | School Opening Date | Initial Enrollment | BEMIS Alloted |
|---|---|---|---|---|---|
| Yes | Yes | 5 | 2017-02-28 | 28 | Yes |
| Fitness/Topgraphic Survey | Water Test | Soil Test | D/ND Test | Completion Certificate | Current Stage |
| Yes | Yes | No | Yes | Yes | 1 |
| Furniture | Blackboard | TLM Kit | ECE Supply | ECE TLM | Wash Kit | First Aid | Sports Goods | Labortory | ICT Supply |
|---|---|---|---|---|---|---|---|---|---|
| Yes | Yes | Yes | Yes | Yes | Yes | Yes | No | No | No |
| Class Name | Attend Reg Girls | Attend Reg Boys | Attend Reg Total | Head Count Girls | Head Count Boys | HeadcountTotal |
|---|---|---|---|---|---|---|
| Kachi | 6 | 6 | 12 | 5 | 4 | 9 |
| Class 1 | 4 | 2 | 6 | 3 | 2 | 5 |
| Class 2 | 4 | 0 | 4 | 3 | 0 | 3 |
| Class 3 | 0 | 0 | 0 | 0 | 0 | 0 |
| Class 4 | 0 | 0 | 0 | 0 | 0 | 0 |
| Class 5 | 0 | 2 | 2 | 0 | 2 | 2 |
| Total | 14 | 10 | 24 | 11 | 8 | 19 |
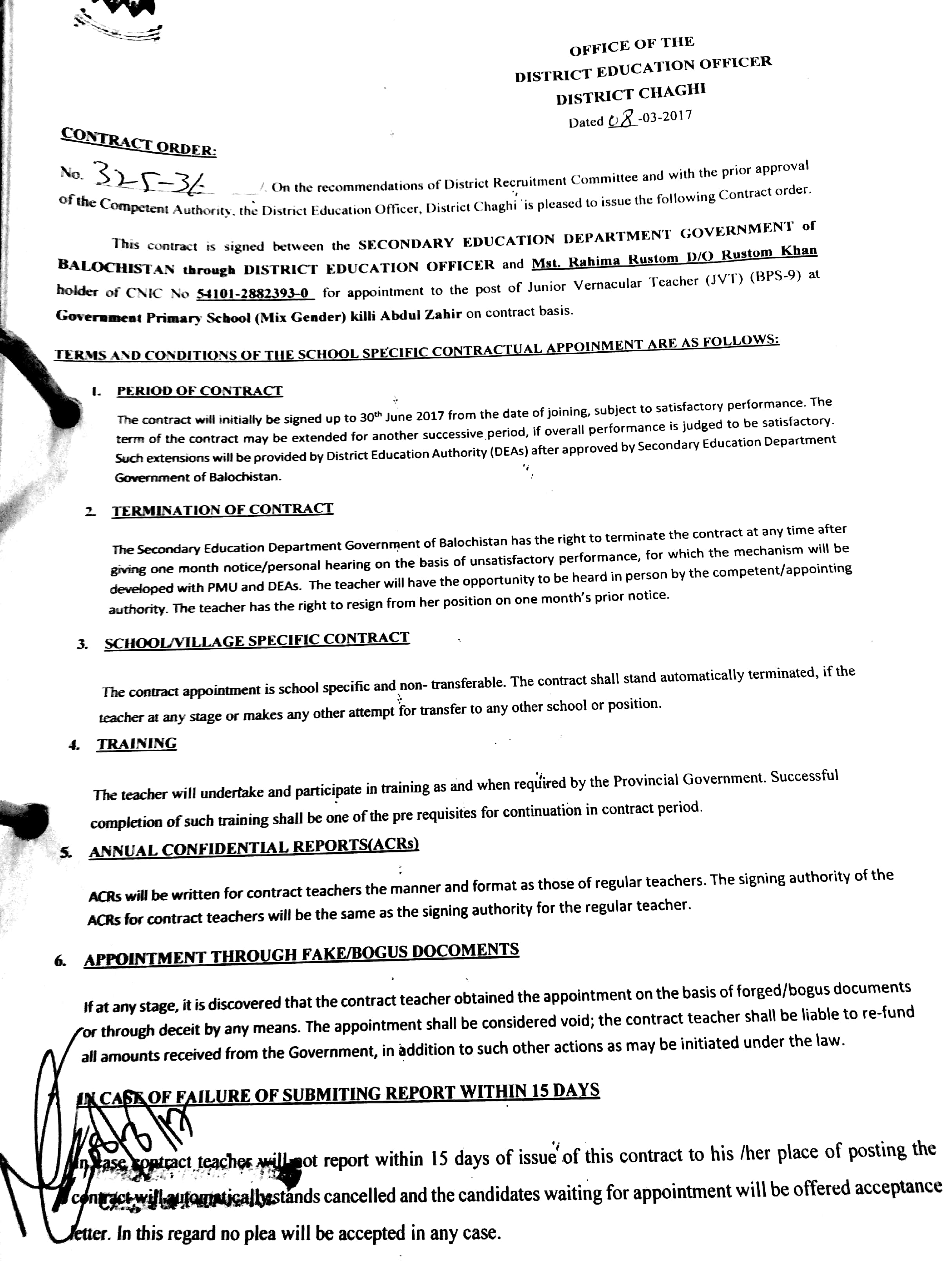
| Teacher's Name | Father's Name | Husband's Name | Post | Academic Qualification | Professional Qualification | Contract Award | Date Of Joining | Trained On PTSMC | Trained On Domain |
|---|---|---|---|---|---|---|---|---|---|
| Naseema Gul | Shah mohammad | JVT | BSC | CT | Yes | 2017-03-13 | Yes | Yes | |
| Rahima Rostum | Rostum khan | JVT | Intermediate | PTC | Yes | 2017-03-13 | Yes | Yes |
| Name | Designation | Contact | Trained |
|---|---|---|---|
| Abdul Zahir | President | 03333245644 | Yes |
| Qadir bakhs | v President | 00000000000 | Yes |
| Mohammad kher | G,Sec | 00000000000 | Yes |
| Fateh mohammad | Finance | 00000000000 | Yes |
| Raheema | member | 00000000000 | Yes |
Notiļ¬cations
Land Mutation
PTSMC Member Notification
Teacher Contract
Handing Over Certificate
GRN Notiļ¬cations
Furniture GRN Notification
Classroom Articles GRN Notification