| Region | District | Tehsil | UC | Abandon | Level | BEMIS | Latitude | Longitude | Budget |
|---|---|---|---|---|---|---|---|---|---|
| 6 | Kharan | Kharan | M.C | No | Middle | 11509 | 28.580588 | 65.431133 |
| PTSMC Notified | Land Mutation | PTSMCTrained | School Opening Date | Initial Enrollment | BEMIS Alloted |
|---|---|---|---|---|---|
| Yes | Yes | 7 | 2018-01-22 | 116 | Yes |
| Fitness/Topgraphic Survey | Water Test | Soil Test | D/ND Test | Completion Certificate | Current Stage |
| Yes | Yes | Yes | N/A | Yes | 5 |
| Furniture | Blackboard | TLM Kit | ECE Supply | ECE TLM | Wash Kit | First Aid | Sports Goods | Labortory | ICT Supply |
|---|---|---|---|---|---|---|---|---|---|
| Yes | No | Yes | Yes | Yes | Yes | Yes | Yes | No | No |
| Class Name | Attend Reg Girls | Attend Reg Boys | Attend Reg Total | Head Count Girls | Head Count Boys | HeadcountTotal |
|---|---|---|---|---|---|---|
| Kachi | 66 | 7 | 73 | 44 | 0 | 44 |
| Class 1 | 37 | 12 | 49 | 30 | 11 | 41 |
| Class 2 | 40 | 2 | 42 | 36 | 2 | 38 |
| Class 3 | 15 | 0 | 15 | 12 | 0 | 12 |
| Class 4 | 23 | 1 | 24 | 15 | 1 | 16 |
| Class 5 | 10 | 0 | 10 | 9 | 0 | 9 |
| Class 6 | 15 | 0 | 15 | 11 | 0 | 11 |
| Class 7 | 0 | 0 | 0 | 0 | 0 | 0 |
| Class 8 | 0 | 0 | 0 | 0 | 0 | 0 |
| Total | 206 | 22 | 228 | 157 | 14 | 171 |
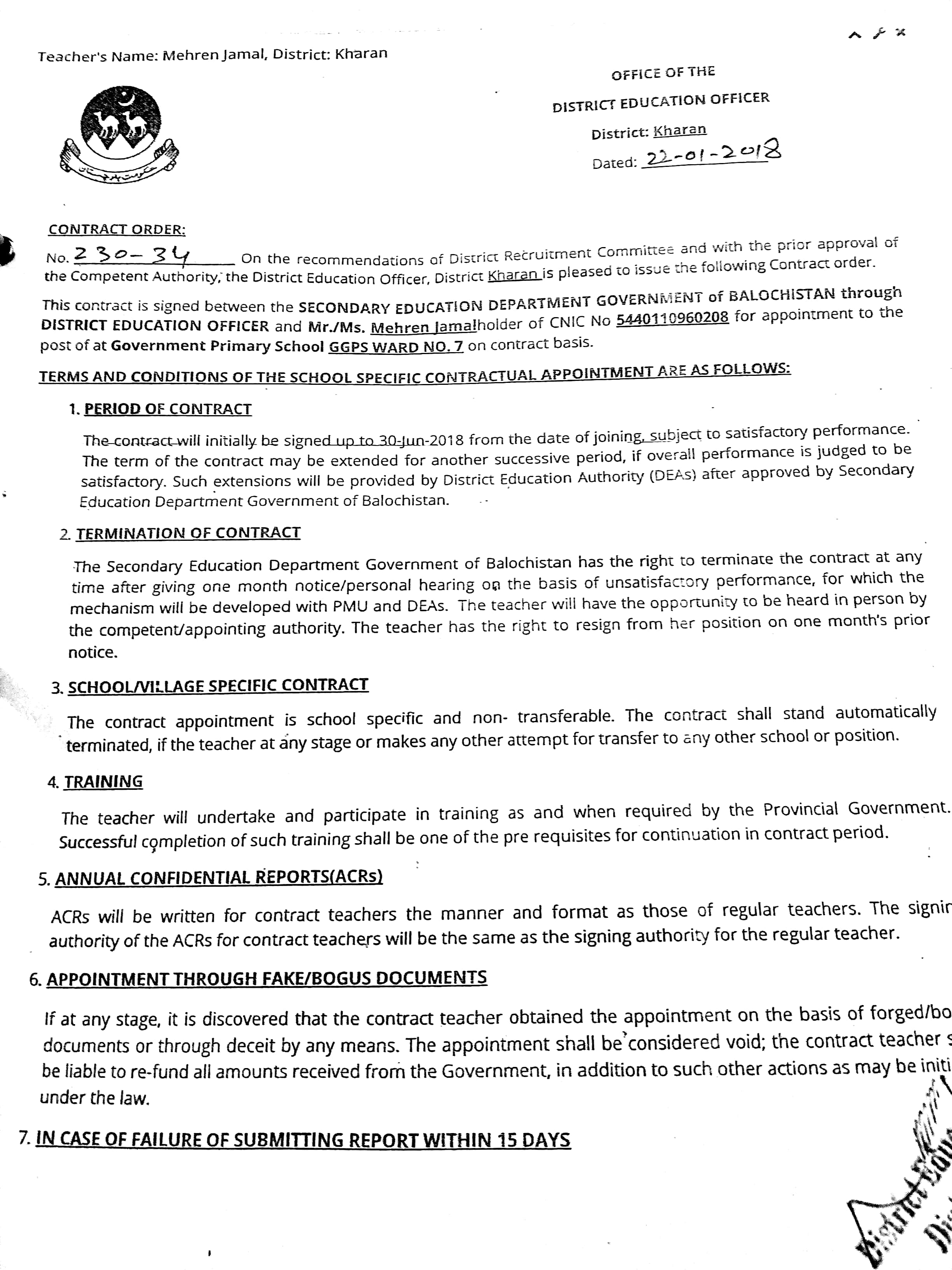
| Teacher's Name | Father's Name | Husband's Name | Post | Academic Qualification | Professional Qualification | Contract Award | Date Of Joining | Trained On PTSMC | Trained On Domain |
|---|---|---|---|---|---|---|---|---|---|
| Bilquees | Mohammad Yousaf | EST | B.A | Yes | 2018-01-22 | Yes | Yes | ||
| Mehren Jamal | Jamal khan | EST | Yes | 2018-01-22 | Yes | Yes |
| Name | Designation | Contact | Trained |
|---|---|---|---|
| Haji muner ahmed | President | 03368202006 | Yes |
| Bilal | v President | Yes | |
| Rahemullah | G,Sec | Yes | |
| iltaf hussain | Finance | Yes | |
| ghulam hussian | Member | Yes | |
| khadija | Member | Yes | |
| saeeda rouf | Member | Yes |
Notiļ¬cations
Land Mutation
PTSMC Member Notification
Teacher Contract
Construction Works Stage Wise Updates
Stage-1
Stage-2
Stage-3
Stage-4
Stage-5
Handing Over Certificate
GRN Notiļ¬cations
Furniture GRN Notification
Classroom Articles GRN Notification
SportS GRN Notification