| Region | District | Tehsil | UC | Abandon | Level | BEMIS | Latitude | Longitude | Budget |
|---|---|---|---|---|---|---|---|---|---|
| 6 | Washuk | Basima | Kuragi | Yes | Primary | 18010 | 27.215276 | 64.705574 |
| PTSMC Notified | Land Mutation | PTSMCTrained | School Opening Date | Initial Enrollment | BEMIS Alloted |
|---|---|---|---|---|---|
| Yes | Yes | 5 | 2017-03-15 | 35 | Yes |
| Fitness/Topgraphic Survey | Water Test | Soil Test | D/ND Test | Completion Certificate | Current Stage |
| Yes | Yes | No | Yes | Yes | 5 |
| Furniture | Blackboard | TLM Kit | ECE Supply | ECE TLM | Wash Kit | First Aid | Sports Goods | Labortory | ICT Supply |
|---|---|---|---|---|---|---|---|---|---|
| Yes | Yes | Yes | Yes | Yes | Yes | Yes | No | No | No |
| Class Name | Attend Reg Girls | Attend Reg Boys | Attend Reg Total | Head Count Girls | Head Count Boys | HeadcountTotal |
|---|---|---|---|---|---|---|
| Kachi | 10 | 0 | 10 | 9 | 0 | 9 |
| Class 1 | 4 | 0 | 4 | 3 | 0 | 3 |
| Class 2 | 0 | 0 | 0 | 0 | 0 | 0 |
| Class 3 | 3 | 0 | 3 | 3 | 0 | 3 |
| Class 4 | 6 | 0 | 6 | 5 | 0 | 5 |
| Class 5 | 0 | 0 | 0 | 0 | 0 | 0 |
| Total | 23 | 0 | 23 | 20 | 0 | 20 |
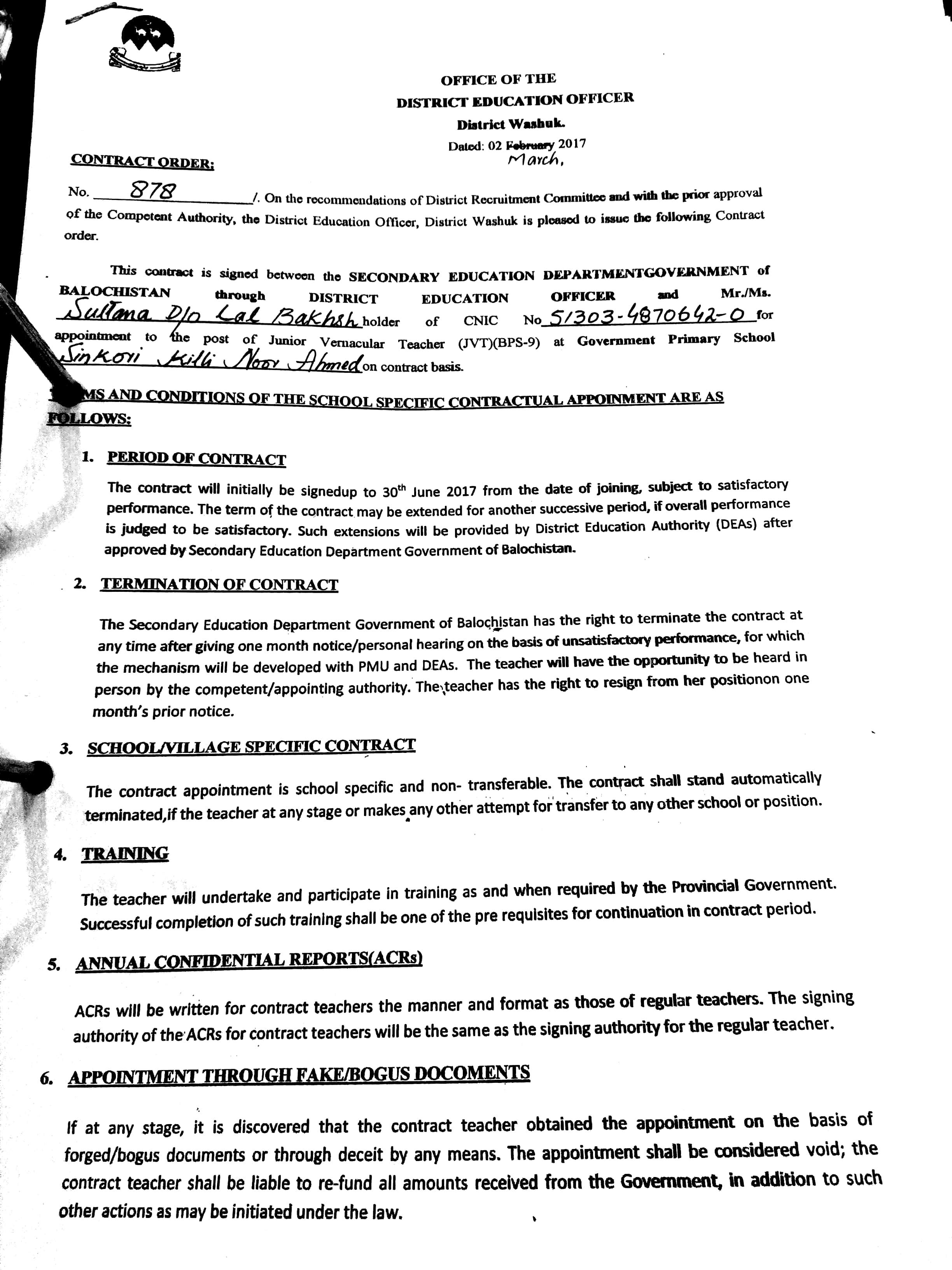
| Teacher's Name | Father's Name | Husband's Name | Post | Academic Qualification | Professional Qualification | Contract Award | Date Of Joining | Trained On PTSMC | Trained On Domain |
|---|---|---|---|---|---|---|---|---|---|
| Bibi yasmeen | Lal Baksh | JVT | Intermediate | CT | Yes | 2017-03-15 | Yes | ||
| Sultana | Lal Baksh | JVT | Intermediate | PTC | Yes | 2017-03-15 | Yes | Yes |
| Name | Designation | Contact | Trained |
|---|---|---|---|
| Noor Ahmed | President | 00000000000 | Yes |
| Kareem jan | v President | 00000000000 | Yes |
| ismail | G,Sec | 0 | Yes |
| M.qasim | Finance | 00000000000 | Yes |
| Sultana | Member | 00000000000 | Yes |
Notiļ¬cations
Land Mutation
PTSMC Member Notification
Teacher Contract
Handing Over Certificate
GRN Notiļ¬cations
Furniture GRN Notification
Classroom Articles GRN Notification