| Region | District | Tehsil | UC | Abandon | Level | BEMIS | Latitude | Longitude | Budget |
|---|---|---|---|---|---|---|---|---|---|
| 1 | Pishin | Barshore | Kach hassanzai | Yes | Primary | 17894 | 30.874907 | 67.30386 |
| PTSMC Notified | Land Mutation | PTSMCTrained | School Opening Date | Initial Enrollment | BEMIS Alloted |
|---|---|---|---|---|---|
| Yes | Yes | 5 | 2016-12-07 | 47 | Yes |
| Fitness/Topgraphic Survey | Water Test | Soil Test | D/ND Test | Completion Certificate | Current Stage |
| Yes | Yes | No | Yes | Yes | 1 |
| Furniture | Blackboard | TLM Kit | ECE Supply | ECE TLM | Wash Kit | First Aid | Sports Goods | Labortory | ICT Supply |
|---|---|---|---|---|---|---|---|---|---|
| Yes | Yes | Yes | Yes | Yes | Yes | Yes | No | No | No |
| Class Name | Attend Reg Girls | Attend Reg Boys | Attend Reg Total | Head Count Girls | Head Count Boys | HeadcountTotal |
|---|---|---|---|---|---|---|
| Kachi | 9 | 9 | 18 | 9 | 9 | 18 |
| Class 1 | 7 | 6 | 13 | 7 | 6 | 13 |
| Class 2 | 0 | 0 | 0 | 0 | 0 | 0 |
| Class 3 | 0 | 0 | 0 | 0 | 0 | 0 |
| Class 4 | 4 | 0 | 4 | 4 | 0 | 4 |
| Class 5 | 0 | 0 | 0 | 0 | 0 | 0 |
| Total | 20 | 15 | 35 | 20 | 15 | 35 |
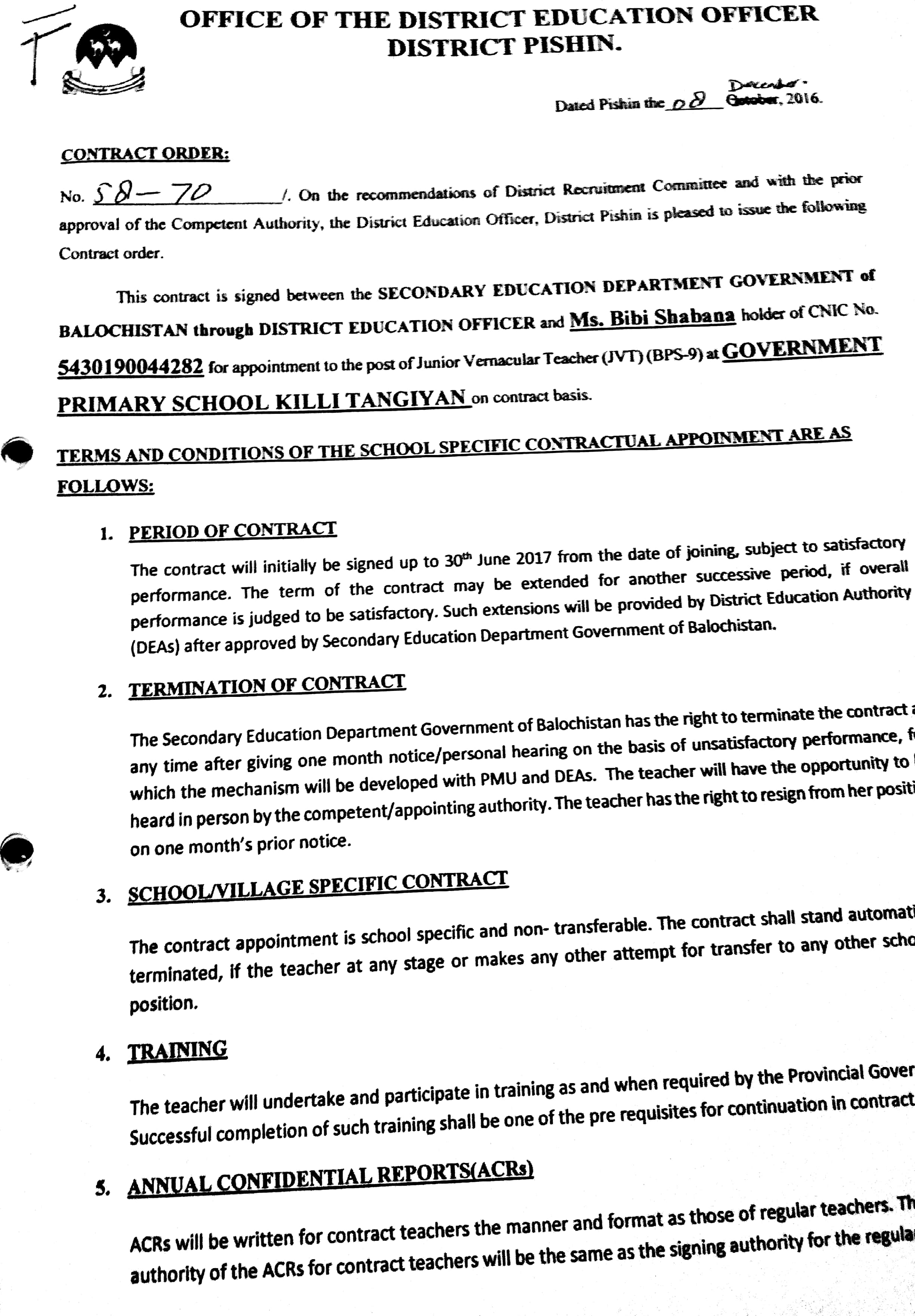
| Teacher's Name | Father's Name | Husband's Name | Post | Academic Qualification | Professional Qualification | Contract Award | Date Of Joining | Trained On PTSMC | Trained On Domain |
|---|---|---|---|---|---|---|---|---|---|
| Bibi Shabana | Muhammad Sadiq | JVT | FA | Yes | 2016-07-12 | Yes | Yes | ||
| Bibi Naheeda | Abdul Kareem | JVT | FA | Yes | 2016-07-12 | Yes | Yes |
| Name | Designation | Contact | Trained |
|---|---|---|---|
| Haji Taimoor SHah | President | 0826523734 | Yes |
| Raz Muhammad | V.President | 03337912488 | Yes |
| Faizullah | G.Secretry | 03343157891 | Yes |
| Nahida | Member | 03327872988 | Yes |
| SHabana | Member | 03138738880 | Yes |
Notiļ¬cations
Land Mutation
PTSMC Member Notification
Teacher Contract
Handing Over Certificate
GRN Notiļ¬cations
Furniture GRN Notification
Classroom Articles GRN Notification