| Region | District | Tehsil | UC | Abandon | Level | BEMIS | Latitude | Longitude | Budget |
|---|---|---|---|---|---|---|---|---|---|
| 1 | Killa abdullah | Killa abdullah | Maizai | Yes | Primary | 17645 | 30.7195 | 66.7811 |
| PTSMC Notified | Land Mutation | PTSMCTrained | School Opening Date | Initial Enrollment | BEMIS Alloted |
|---|---|---|---|---|---|
| Yes | Yes | 5 | 2017-04-01 | 45 | Yes |
| Fitness/Topgraphic Survey | Water Test | Soil Test | D/ND Test | Completion Certificate | Current Stage |
| Yes | Yes | No | Yes | Yes | 1 |
| Furniture | Blackboard | TLM Kit | ECE Supply | ECE TLM | Wash Kit | First Aid | Sports Goods | Labortory | ICT Supply |
|---|---|---|---|---|---|---|---|---|---|
| Yes | Yes | Yes | Yes | Yes | Yes | Yes | No | No | No |
| Class Name | Attend Reg Girls | Attend Reg Boys | Attend Reg Total | Head Count Girls | Head Count Boys | HeadcountTotal |
|---|---|---|---|---|---|---|
| Kachi | 22 | 15 | 37 | 22 | 15 | 37 |
| Class 1 | 7 | 5 | 12 | 7 | 5 | 12 |
| Class 2 | 1 | 4 | 5 | 1 | 4 | 5 |
| Class 3 | 7 | 0 | 7 | 7 | 0 | 7 |
| Class 4 | 0 | 0 | 0 | 0 | 0 | 0 |
| Class 5 | 0 | 0 | 0 | 0 | 0 | 0 |
| Total | 37 | 24 | 61 | 37 | 24 | 61 |
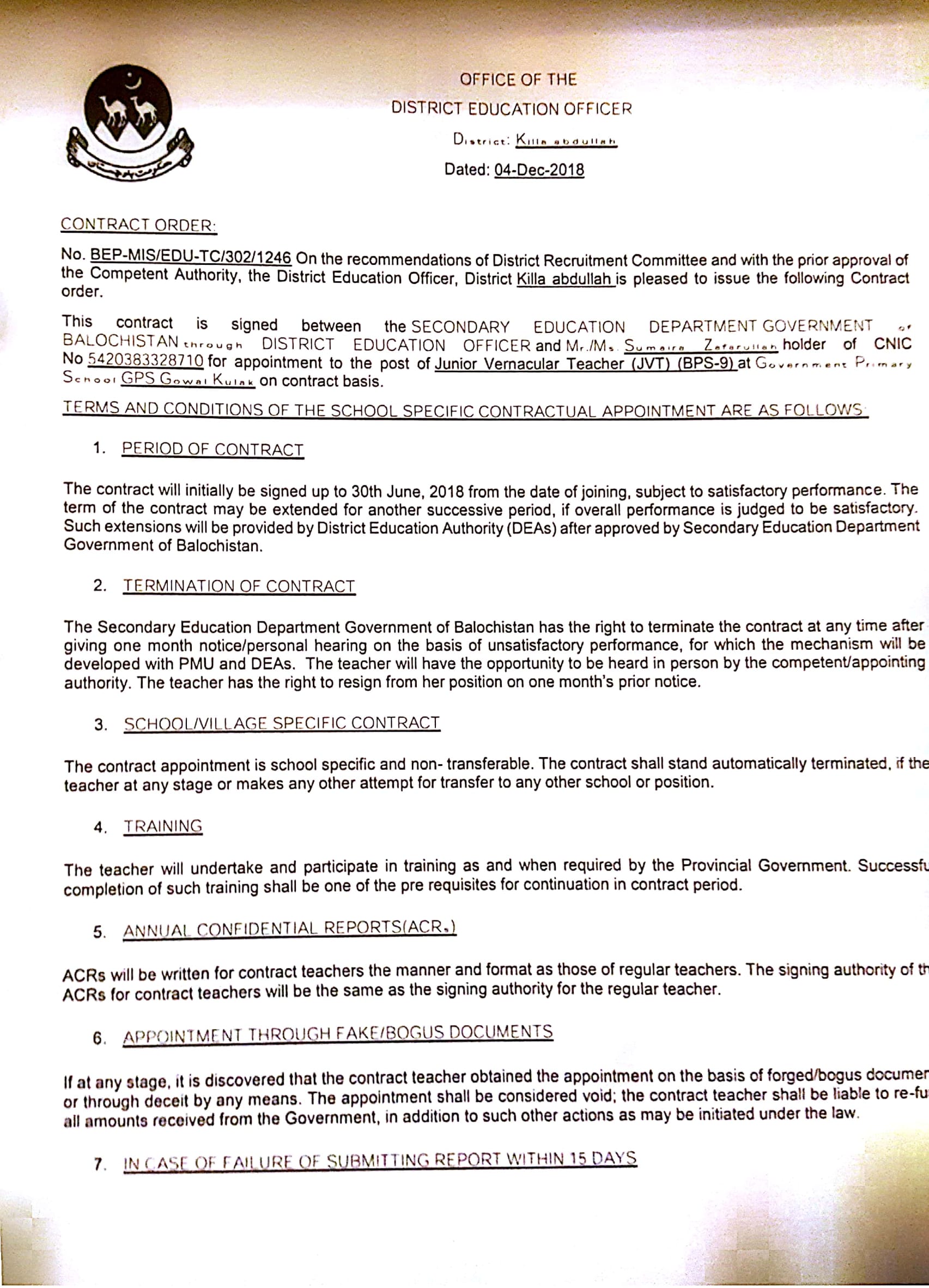
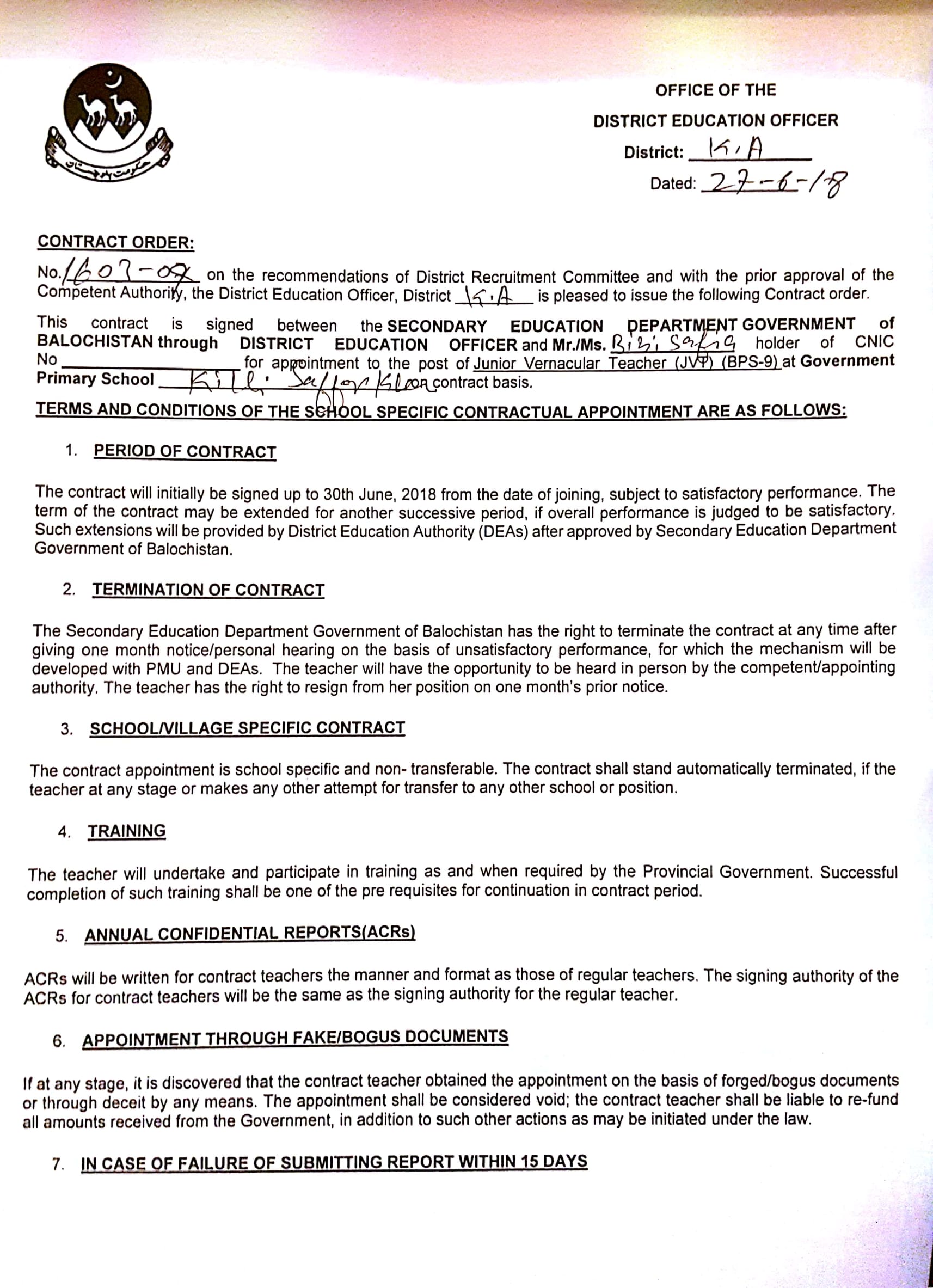
| Teacher's Name | Father's Name | Husband's Name | Post | Academic Qualification | Professional Qualification | Contract Award | Date Of Joining | Trained On PTSMC | Trained On Domain |
|---|---|---|---|---|---|---|---|---|---|
| Bibi Saleema | Abdul Rehman | JVT | Fsc | Yes | 2017-12-18 | Yes | Yes | ||
| Bibi Sumaira | Muhammad Shafiq | JVT | FSC | Yes | 2017-06-20 | Yes | Yes |
| Name | Designation | Contact | Trained |
|---|---|---|---|
| Noor Shah | President | 03008991979 | Yes |
| Jahangeer Shah | G.Secretry | 030022247000 | Yes |
| Sirajudin | V.President | 03003587936 | Yes |
| Bibi Saleema | Member | Yes | |
| Sumaira | Member | Yes |
Notiļ¬cations
Land Mutation
PTSMC Member Notification
Teacher Contract
Handing Over Certificate
GRN Notiļ¬cations
Furniture GRN Notification
Classroom Articles GRN Notification