| Region | District | Tehsil | UC | Abandon | Level | BEMIS | Latitude | Longitude | Budget |
|---|---|---|---|---|---|---|---|---|---|
| 1 | Killa abdullah | Chaman | Chaman | Yes | Primary | 17642 | 30.8680 | 66.8904 |
| PTSMC Notified | Land Mutation | PTSMCTrained | School Opening Date | Initial Enrollment | BEMIS Alloted |
|---|---|---|---|---|---|
| Yes | Yes | 4 | 2018-06-28 | Yes | |
| Fitness/Topgraphic Survey | Water Test | Soil Test | D/ND Test | Completion Certificate | Current Stage |
| Yes | Yes | No | Yes | Yes | 1 |
| Furniture | Blackboard | TLM Kit | ECE Supply | ECE TLM | Wash Kit | First Aid | Sports Goods | Labortory | ICT Supply |
|---|---|---|---|---|---|---|---|---|---|
| Yes | Yes | Yes | Yes | Yes | Yes | Yes | No | No | No |
| Class Name | Attend Reg Girls | Attend Reg Boys | Attend Reg Total | Head Count Girls | Head Count Boys | HeadcountTotal |
|---|---|---|---|---|---|---|
| Kachi | 0 | 0 | 0 | 0 | 0 | 0 |
| Class 1 | 0 | 0 | 0 | 0 | 0 | 0 |
| Class 2 | 0 | 0 | 0 | 0 | 0 | 0 |
| Class 3 | 0 | 0 | 0 | 0 | 0 | 0 |
| Class 4 | 0 | 0 | 0 | 0 | 0 | 0 |
| Class 5 | 0 | 0 | 0 | 0 | 0 | 0 |
| Total | 0 | 0 | 0 | 0 | 0 | 0 |
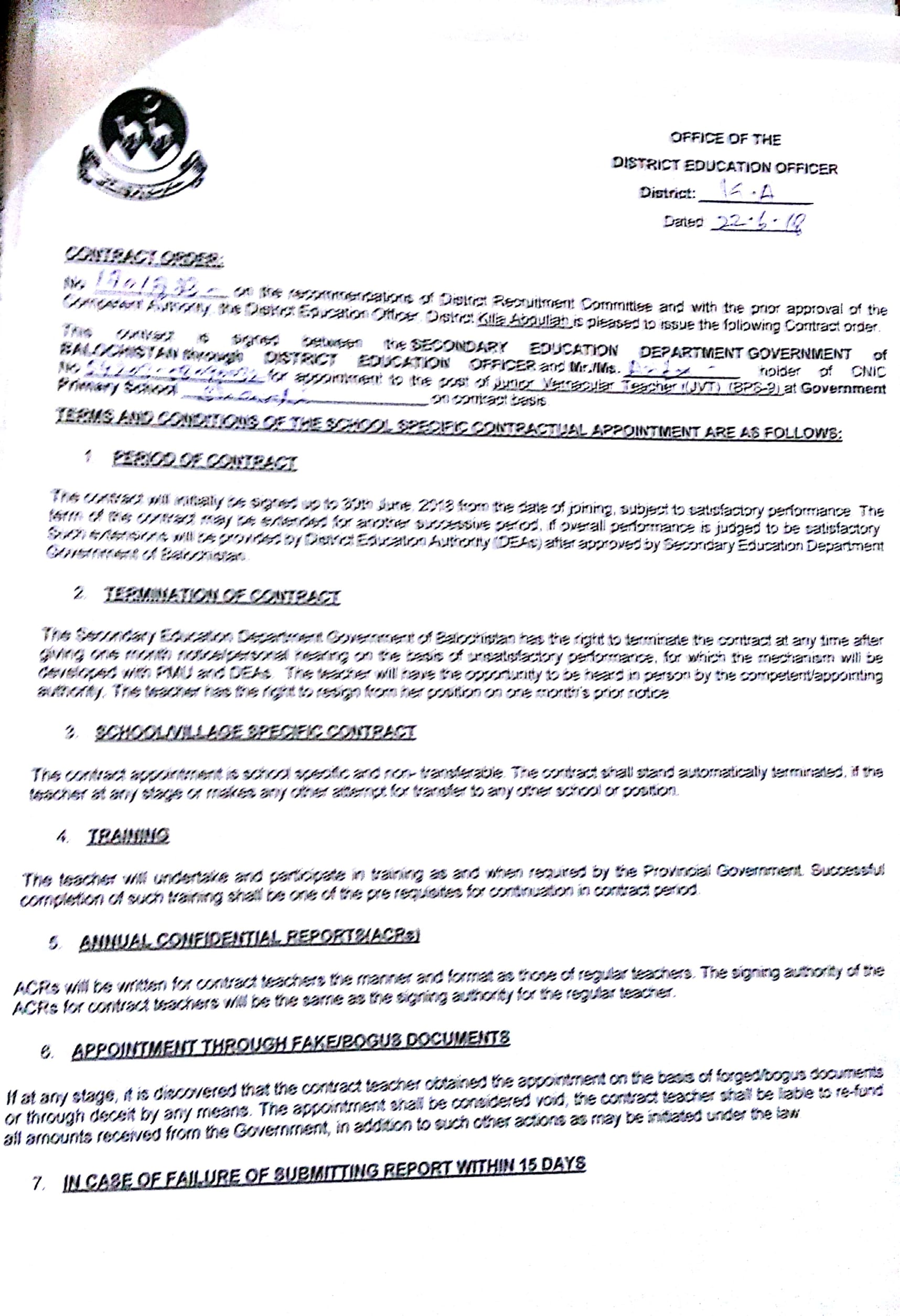
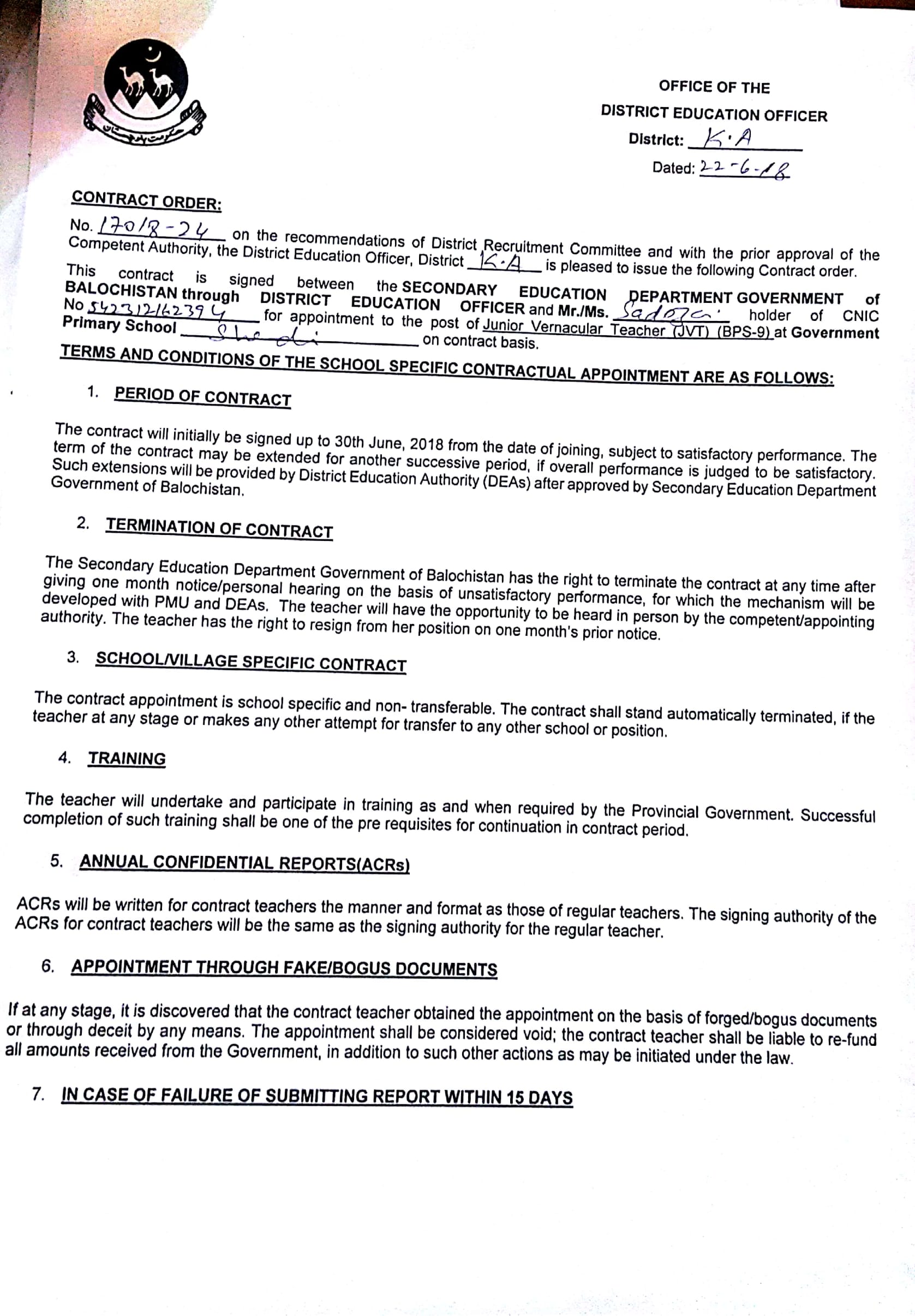
| Teacher's Name | Father's Name | Husband's Name | Post | Academic Qualification | Professional Qualification | Contract Award | Date Of Joining | Trained On PTSMC | Trained On Domain |
|---|---|---|---|---|---|---|---|---|---|
| Bibi Arifa | Abdul Wadood | JVT | Fsc | Yes | 2018-06-28 | Yes | Yes | ||
| Bibi Sadozai | Abdul Jabbar | JVT | Fsc | Yes | 2018-06-28 | Yes | Yes |
| Name | Designation | Contact | Trained |
|---|---|---|---|
| Abdul Wali | President | 03022181336 | Yes |
| Abdul Bari | V.President | ||
| Muhammad Hanif | G.Secretry | 03012266523 | Yes |
| Muhammad Naseem | Finance Secretary | 03012137195 | Yes |
| Bibi Arifa | Member | Yes |
Notiļ¬cations
Land Mutation
PTSMC Member Notification
Teacher Contract
Handing Over Certificate
GRN Notiļ¬cations
Furniture GRN Notification
Classroom Articles GRN Notification