| Region | District | Tehsil | UC | Abandon | Level | BEMIS | Latitude | Longitude | Budget |
|---|---|---|---|---|---|---|---|---|---|
| 6 | Chaghi | Nokundi | Nokundi | No | Middle | 10788 | 28.829766 | 62.735394 |
| PTSMC Notified | Land Mutation | PTSMCTrained | School Opening Date | Initial Enrollment | BEMIS Alloted |
|---|---|---|---|---|---|
| Yes | Yes | 7 | 2018-01-05 | Yes | |
| Fitness/Topgraphic Survey | Water Test | Soil Test | D/ND Test | Completion Certificate | Current Stage |
| Yes | Yes | Yes | N/A | Yes | 5 |
| Furniture | Blackboard | TLM Kit | ECE Supply | ECE TLM | Wash Kit | First Aid | Sports Goods | Labortory | ICT Supply |
|---|---|---|---|---|---|---|---|---|---|
| Yes | Yes | Yes | Yes | Yes | Yes | Yes | Yes | No | No |
| Class Name | Attend Reg Girls | Attend Reg Boys | Attend Reg Total | Head Count Girls | Head Count Boys | HeadcountTotal |
|---|---|---|---|---|---|---|
| Kachi | 27 | 0 | 27 | 21 | 0 | 21 |
| Class 1 | 23 | 0 | 23 | 18 | 0 | 18 |
| Class 2 | 29 | 0 | 29 | 16 | 0 | 16 |
| Class 3 | 15 | 0 | 15 | 12 | 0 | 12 |
| Class 4 | 12 | 0 | 12 | 11 | 0 | 11 |
| Class 5 | 9 | 0 | 9 | 7 | 0 | 7 |
| Class 6 | 10 | 0 | 10 | 7 | 0 | 7 |
| Class 7 | 0 | 0 | 0 | 0 | 0 | 0 |
| Class 8 | 0 | 0 | 0 | 0 | 0 | 0 |
| Total | 125 | 0 | 125 | 92 | 0 | 92 |
| Teacher's Name | Father's Name | Husband's Name | Post | Academic Qualification | Professional Qualification | Contract Award | Date Of Joining | Trained On PTSMC | Trained On Domain |
|---|---|---|---|---|---|---|---|---|---|
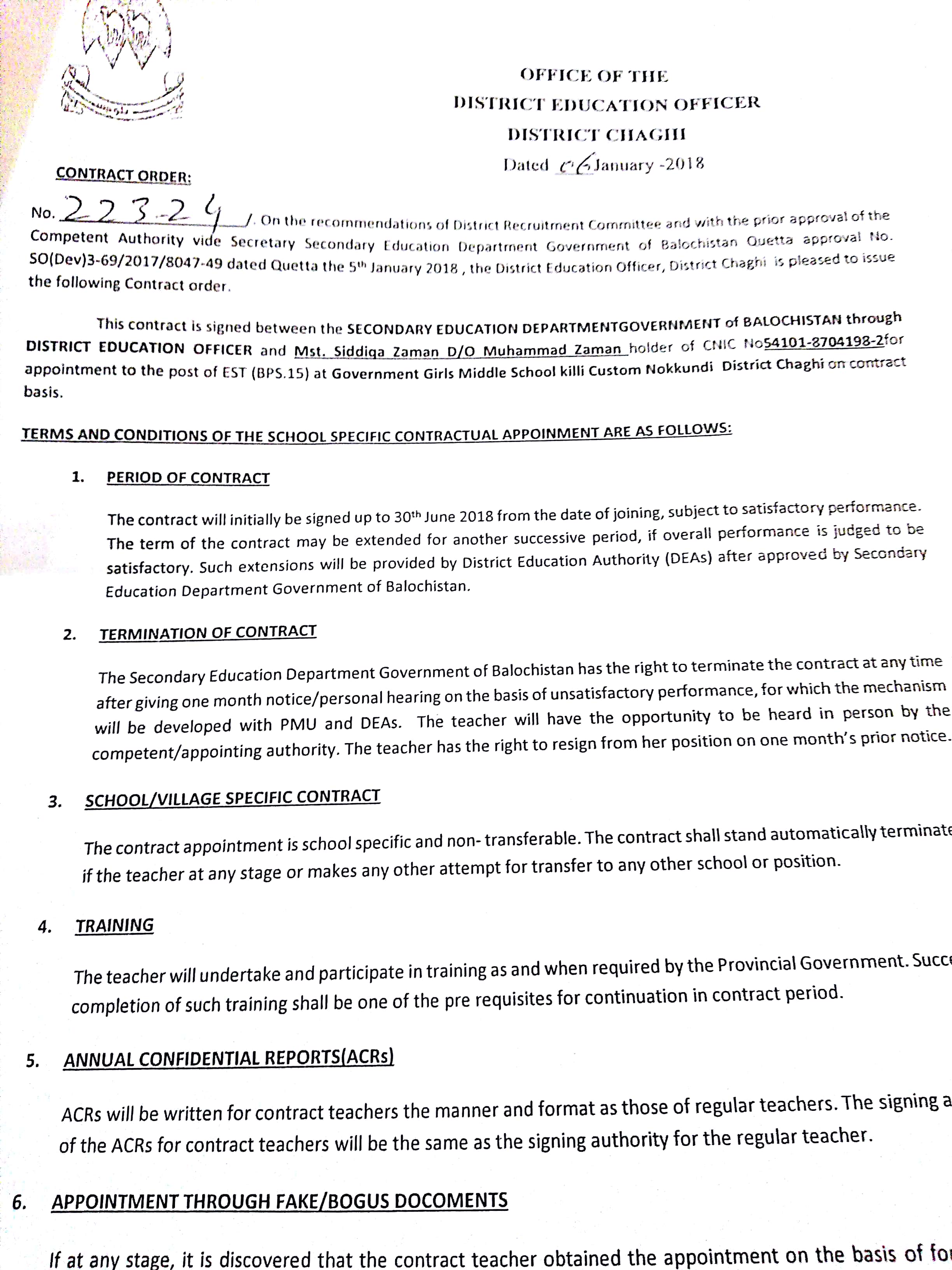
| Siddiqa Zaman | Mohammad zaman | EST | B.A | Yes | 2018-01-06 | Yes | Yes | ||
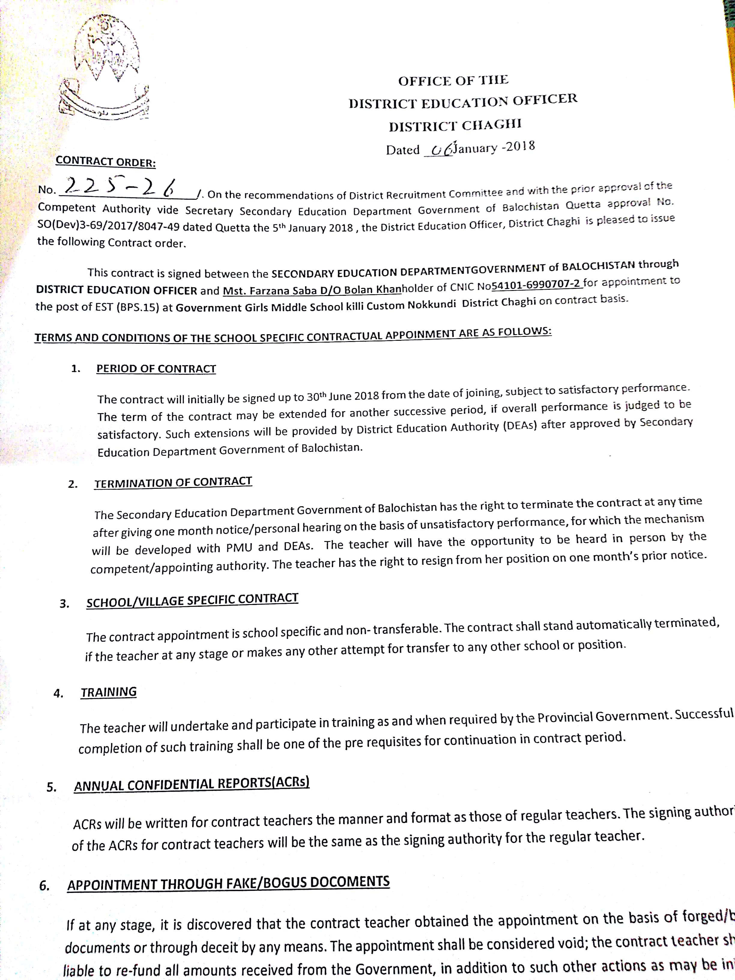
| Farzara saba | Bolan khan | EST | B.A | Yes | 2018-01-10 | Yes | Yes |
| Name | Designation | Contact | Trained |
|---|---|---|---|
| Malik Amir Hamza | President | 03337880908 | Yes |
| Ghulam mohammad | v President | 00000000000 | Yes |
| Shah zaman | G,Sec | 00000000000 | Yes |
| Mohammad ali | finance | 00000000000 | Yes |
| Tahira anjum | Member | 00000000000 | Yes |
| Fareeda kaber | Member | 00000000000 | Yes |
| Salima taj | Member | 00000000000 | Yes |
Notiļ¬cations
Land Mutation
PTSMC Member Notification
Teacher Contract
Construction Works Stage Wise Updates
Stage-1
Stage-2
Stage-3
Stage-4
Stage-5
Handing Over Certificate
GRN Notiļ¬cations
Furniture GRN Notification
Classroom Articles GRN Notification
SportS GRN Notification