| Region | District | Tehsil | UC | Abandon | Level | BEMIS | Latitude | Longitude | Budget |
|---|---|---|---|---|---|---|---|---|---|
| 2 | Shaheed Sikandarabad | Sohrab | Chad sher ali | No | Middle | 50332 | 28.314775 | 66.126610 |
| PTSMC Notified | Land Mutation | PTSMCTrained | School Opening Date | Initial Enrollment | BEMIS Alloted |
|---|---|---|---|---|---|
| Yes | Yes | 1 | 2017-09-28 | 77 | Yes |
| Fitness/Topgraphic Survey | Water Test | Soil Test | D/ND Test | Completion Certificate | Current Stage |
| Yes | Yes | Yes | Yes | Yes | 5 |
| Furniture | Blackboard | TLM Kit | ECE Supply | ECE TLM | Wash Kit | First Aid | Sports Goods | Labortory | ICT Supply |
|---|---|---|---|---|---|---|---|---|---|
| Yes | Yes | Yes | Yes | Yes | Yes | Yes | Yes | No | No |
| Class Name | Attend Reg Girls | Attend Reg Boys | Attend Reg Total | Head Count Girls | Head Count Boys | HeadcountTotal |
|---|---|---|---|---|---|---|
| Kachi | 15 | 0 | 15 | 7 | 0 | 7 |
| Class 1 | 16 | 0 | 16 | 6 | 0 | 6 |
| Class 2 | 6 | 0 | 6 | 3 | 0 | 3 |
| Class 3 | 14 | 0 | 14 | 14 | 0 | 14 |
| Class 4 | 14 | 0 | 14 | 6 | 0 | 6 |
| Class 5 | 18 | 0 | 18 | 6 | 0 | 6 |
| Class 6 | 4 | 0 | 4 | 2 | 0 | 2 |
| Class 7 | 5 | 0 | 5 | 4 | 0 | 4 |
| Class 8 | 4 | 0 | 4 | 4 | 0 | 4 |
| Total | 96 | 0 | 96 | 52 | 0 | 52 |
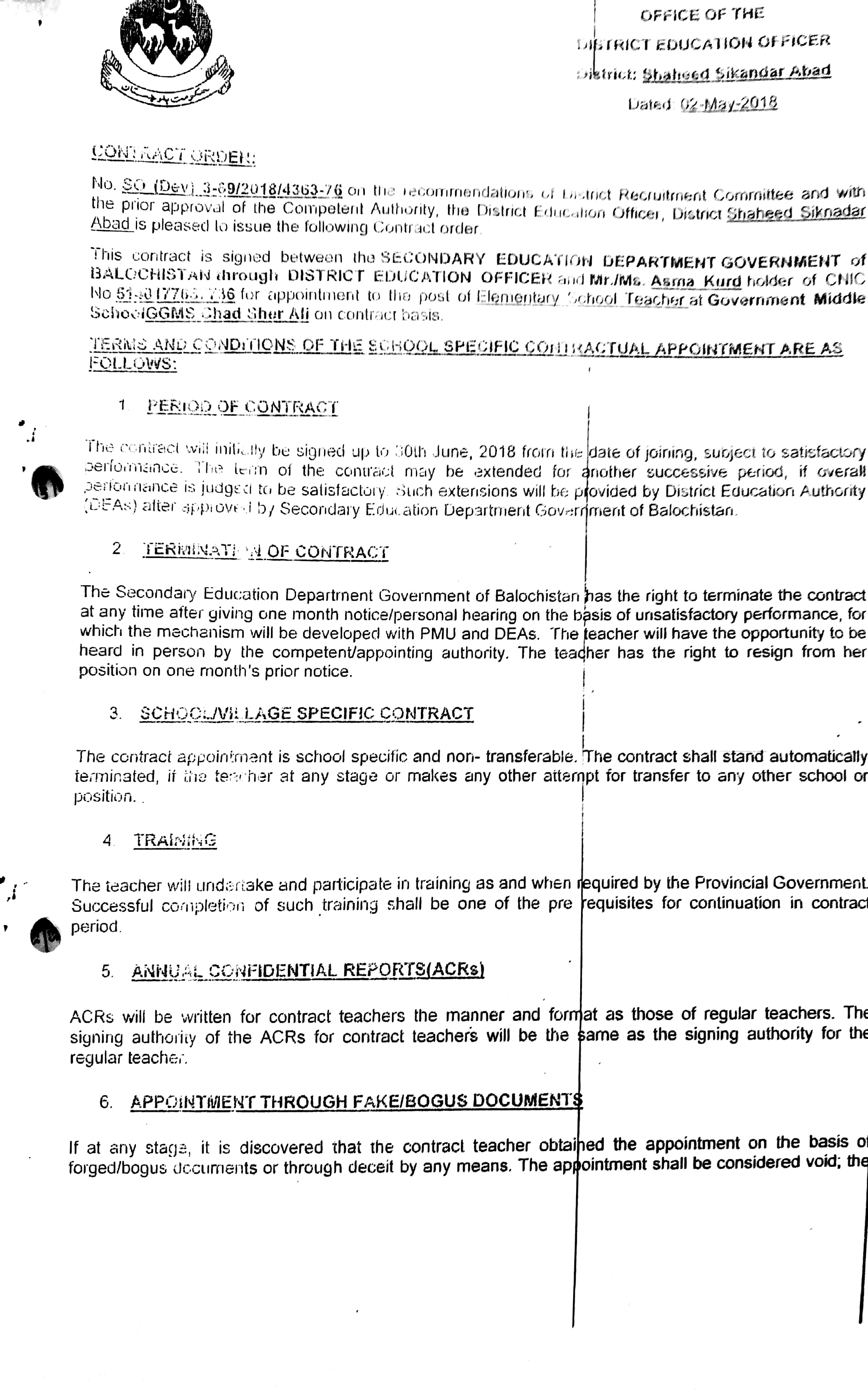
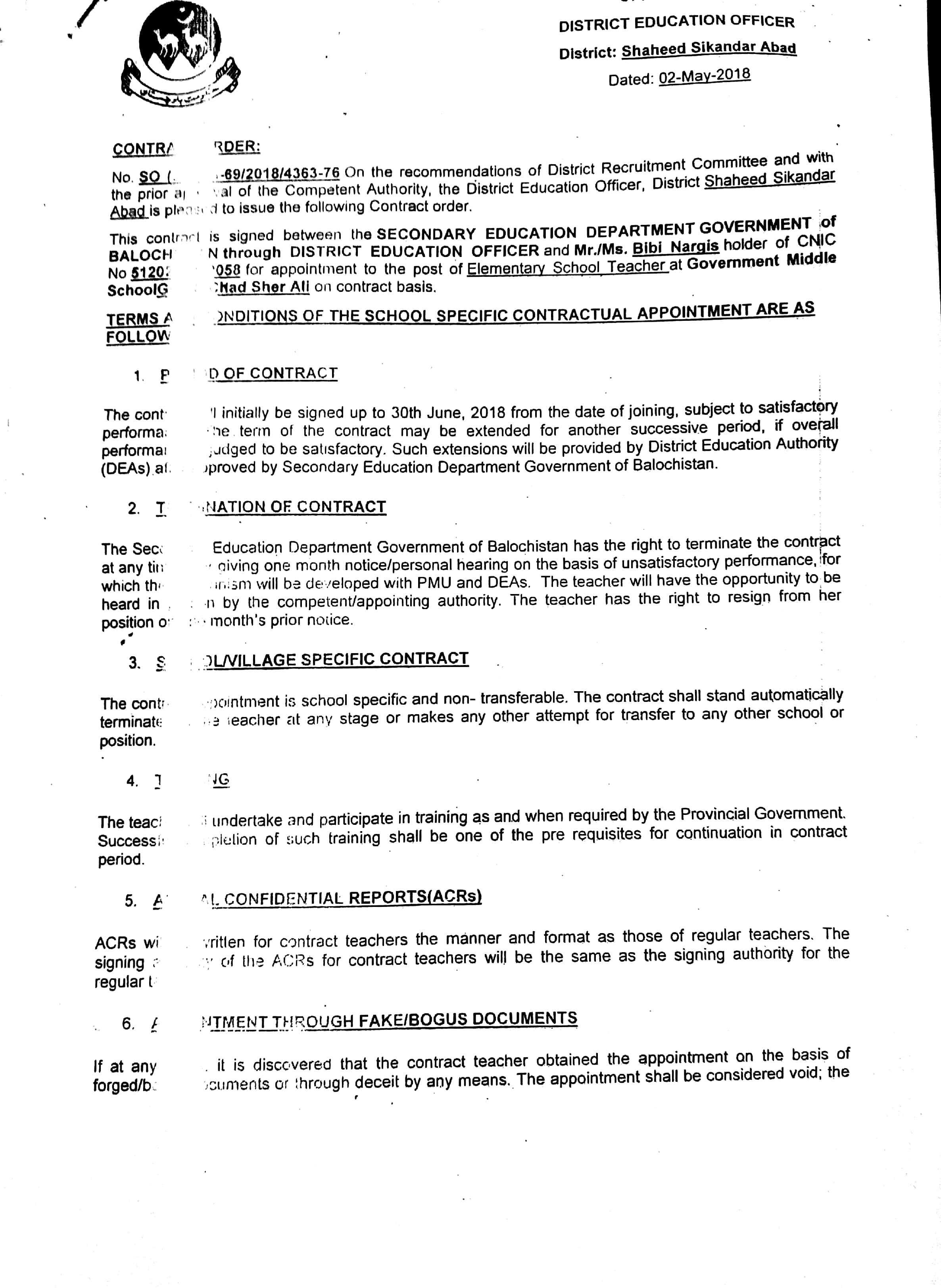
| Teacher's Name | Father's Name | Husband's Name | Post | Academic Qualification | Professional Qualification | Contract Award | Date Of Joining | Trained On PTSMC | Trained On Domain |
|---|---|---|---|---|---|---|---|---|---|
| Asma Kurd | Abdul Nabi | EST | Graduation | B.Ed | Yes | 2018-05-04 | Yes | Yes | |
| Bibi Nargis | Manzoor Ahamd | EST | Graduation | B.Ed | Yes | 2018-05-04 | Yes | Yes |
| Name | Designation | Contact | Trained |
|---|---|---|---|
| Asma Kurd | Secretary | Yes |
Notiļ¬cations
Land Mutation
PTSMC Member Notification
Teacher Contract
Construction Works Stage Wise Updates
Stage-1
Stage-2
Stage-3
Stage-4
Stage-5
Handing Over Certificate
GRN Notiļ¬cations
Furniture GRN Notification
Classroom Articles GRN Notification
SportS GRN Notification