| Region | District | Tehsil | UC | Abandon | Level | BEMIS | Latitude | Longitude | Budget |
|---|---|---|---|---|---|---|---|---|---|
| 1 | Killa abdullah | Chaman | Purana chaman | No | Middle | 12255 | 30.85498 | 66.518169 | 2679407 |
| PTSMC Notified | Land Mutation | PTSMCTrained | School Opening Date | Initial Enrollment | BEMIS Alloted |
|---|---|---|---|---|---|
| Yes | Yes | 4 | 2018-06-28 | 45 | Yes |
| Fitness/Topgraphic Survey | Water Test | Soil Test | D/ND Test | Completion Certificate | Current Stage |
| Yes | Yes | Yes | N/A | Yes | 5 |
| Furniture | Blackboard | TLM Kit | ECE Supply | ECE TLM | Wash Kit | First Aid | Sports Goods | Labortory | ICT Supply |
|---|---|---|---|---|---|---|---|---|---|
| Yes | Yes | No | Yes | Yes | Yes | Yes | Yes | No | No |
| Class Name | Attend Reg Girls | Attend Reg Boys | Attend Reg Total | Head Count Girls | Head Count Boys | HeadcountTotal |
|---|---|---|---|---|---|---|
| Kachi | 6 | 3 | 9 | 0 | 0 | 0 |
| Class 1 | 4 | 6 | 10 | 0 | 0 | 0 |
| Class 2 | 6 | 1 | 7 | 0 | 0 | 0 |
| Class 3 | 3 | 2 | 5 | 0 | 0 | 0 |
| Class 4 | 1 | 3 | 4 | 0 | 0 | 0 |
| Class 5 | 3 | 1 | 4 | 0 | 0 | 0 |
| Class 6 | 0 | 0 | 0 | 0 | 0 | 0 |
| Class 7 | 0 | 0 | 0 | 0 | 0 | 0 |
| Class 8 | 0 | 0 | 0 | 0 | 0 | 0 |
| Total | 23 | 16 | 39 | 0 | 0 | 0 |
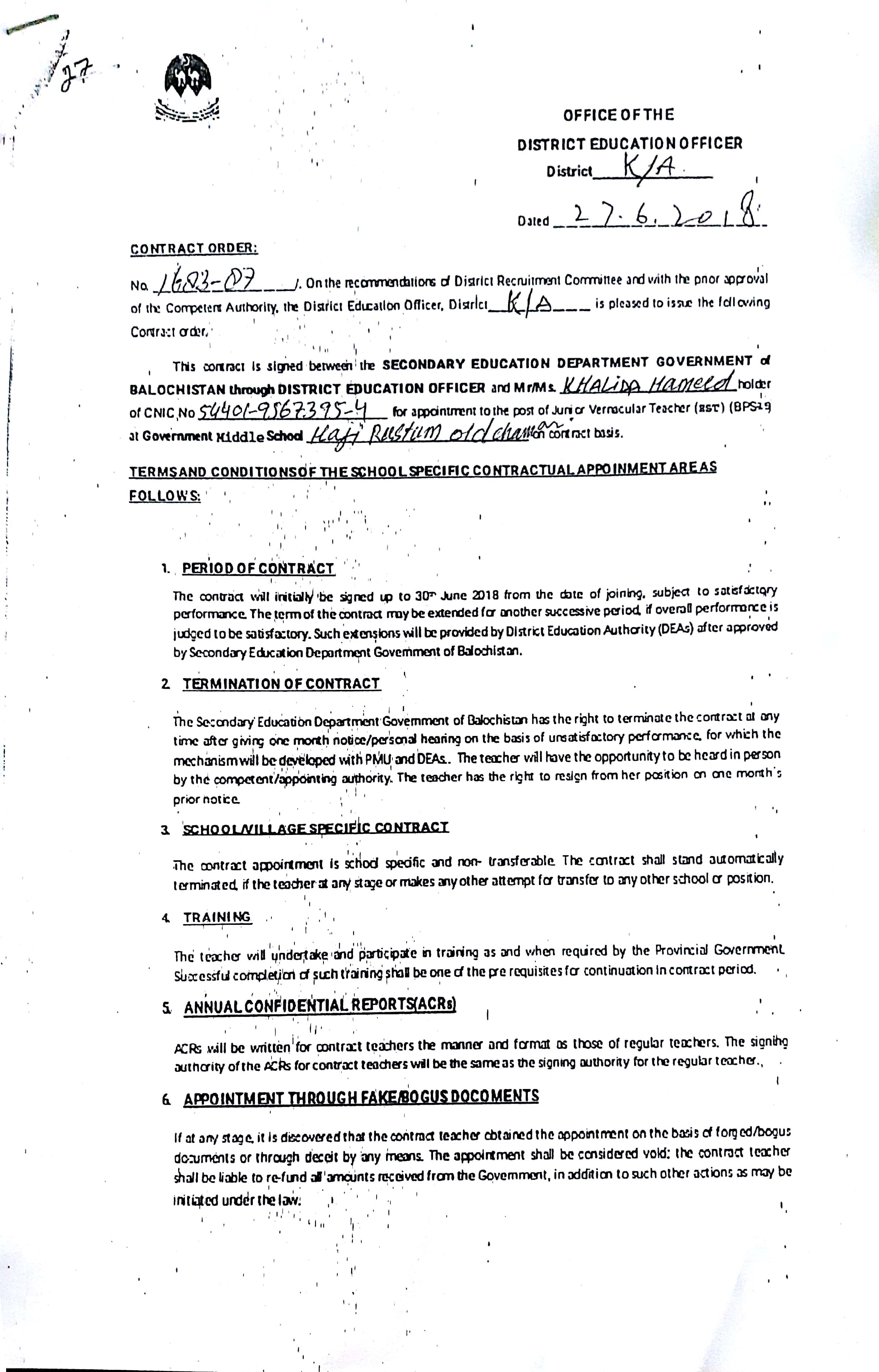
| Teacher's Name | Father's Name | Husband's Name | Post | Academic Qualification | Professional Qualification | Contract Award | Date Of Joining | Trained On PTSMC | Trained On Domain |
|---|---|---|---|---|---|---|---|---|---|
| Khalida Hameed | Abdul Majeed | EST | BSC | Yes | 2018-06-28 | Yes | Yes | ||
| Mariam | Abdul Raheem | EST | BSC | Yes | 2018-06-28 | Yes | Yes |
| Name | Designation | Contact | Trained |
|---|---|---|---|
| Haji Mira Jan | President | 03074252776 | Yes |
| Haji Abdul Gaffar | V.President | ||
| Muhammad Iqkhlas | G.Secretry | 03317803081 | Yes |
| Khadija Hameed | Finance Secretary | Yes | |
| Mariam | Member | Yes |
Notiļ¬cations
Land Mutation
PTSMC Member Notification
Teacher Contract
Construction Works Stage Wise Updates
Stage-1
Stage-2
Stage-3
Stage-4
Stage-5
Handing Over Certificate
GRN Notiļ¬cations
Furniture GRN Notification
Classroom Articles GRN Notification
SportS GRN Notification