| Region | District | Tehsil | UC | Abandon | Level | BEMIS | Latitude | Longitude | Budget |
|---|---|---|---|---|---|---|---|---|---|
| 1 | Killa abdullah | Gulistan | Gulistan | No | Middle | 15582 | 30.6044540 | 66.58636509 | 5093723 |
| PTSMC Notified | Land Mutation | PTSMCTrained | School Opening Date | Initial Enrollment | BEMIS Alloted |
|---|---|---|---|---|---|
| Yes | Yes | 5 | 2018-06-28 | 190 | Yes |
| Fitness/Topgraphic Survey | Water Test | Soil Test | D/ND Test | Completion Certificate | Current Stage |
| Yes | Yes | Yes | N/A | Yes | 5 |
| Furniture | Blackboard | TLM Kit | ECE Supply | ECE TLM | Wash Kit | First Aid | Sports Goods | Labortory | ICT Supply |
|---|---|---|---|---|---|---|---|---|---|
| Yes | Yes | Yes | Yes | Yes | Yes | Yes | Yes | No | No |
| Class Name | Attend Reg Girls | Attend Reg Boys | Attend Reg Total | Head Count Girls | Head Count Boys | HeadcountTotal |
|---|---|---|---|---|---|---|
| Kachi | 20 | 30 | 50 | 18 | 28 | 46 |
| Class 1 | 11 | 8 | 19 | 9 | 8 | 17 |
| Class 2 | 8 | 11 | 19 | 8 | 11 | 19 |
| Class 3 | 3 | 9 | 12 | 3 | 9 | 12 |
| Class 4 | 0 | 7 | 7 | 0 | 7 | 7 |
| Class 5 | 2 | 3 | 5 | 2 | 3 | 5 |
| Class 6 | 0 | 0 | 0 | 0 | 0 | 0 |
| Class 7 | 0 | 0 | 0 | 0 | 0 | 0 |
| Class 8 | 0 | 0 | 0 | 0 | 0 | 0 |
| Total | 44 | 68 | 112 | 40 | 66 | 106 |
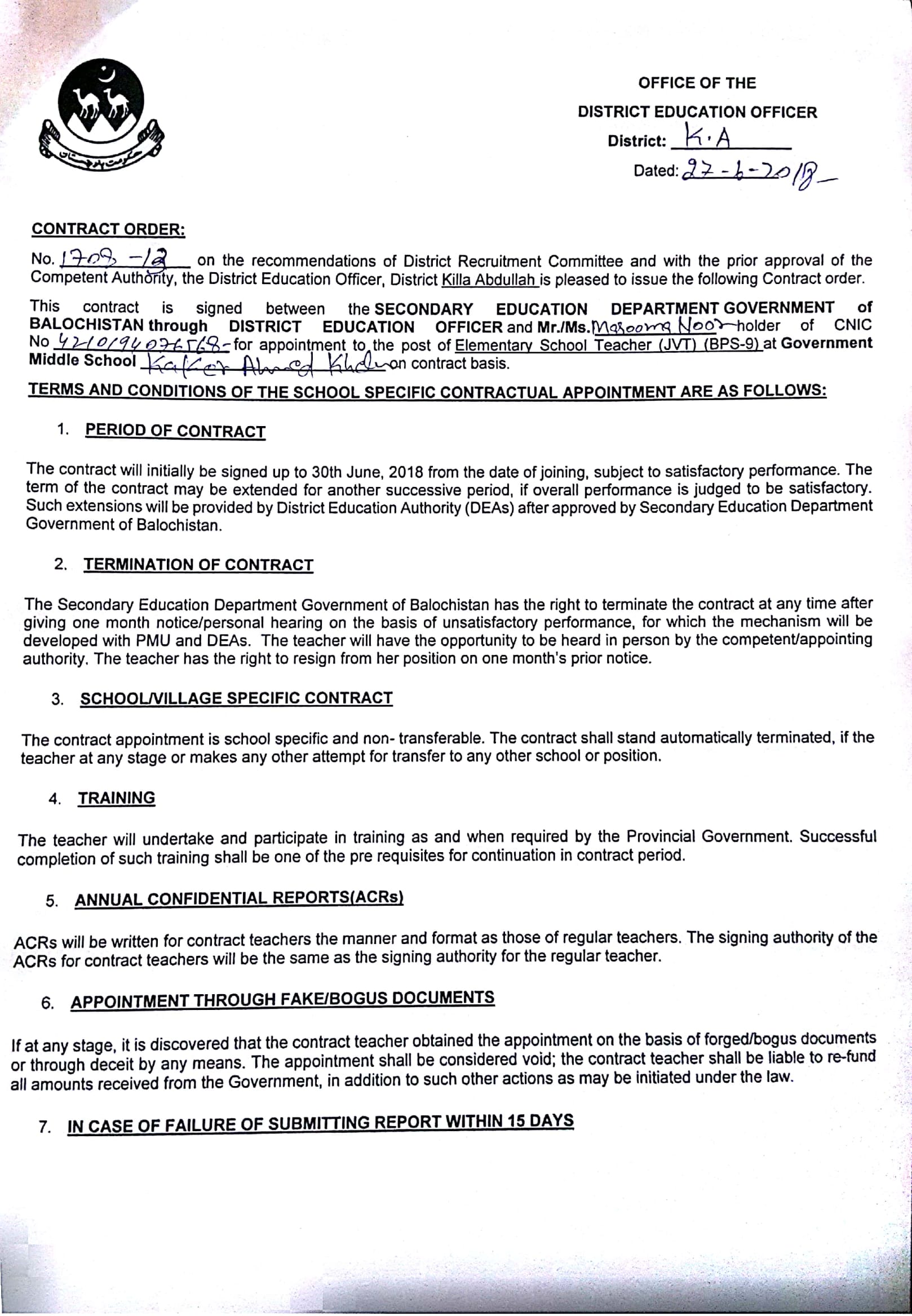
| Teacher's Name | Father's Name | Husband's Name | Post | Academic Qualification | Professional Qualification | Contract Award | Date Of Joining | Trained On PTSMC | Trained On Domain |
|---|---|---|---|---|---|---|---|---|---|
| Rukhsana Bibi | Muhammad Khan | EST | Yes | 2018-06-28 | Yes | ||||
| Masooma Noor | Noor Khan | EST | Bachelor | Yes | 2018-06-28 | Yes | Yes |
| Name | Designation | Contact | Trained |
|---|---|---|---|
| Gulab Shah | President | 03003808566 | Yes |
| Juma Khan | V.President | 03023833052 | Yes |
| Abdul Manaf | G.Secretry | 03013743622 | Yes |
| Muhammad Essa | Finance Secretary | 03000877225 | Yes |
| Faizullah | Member | 03003739975 | Yes |
Notiļ¬cations
Land Mutation
PTSMC Member Notification
Teacher Contract
Construction Works Stage Wise Updates
Stage-1
Stage-2
Stage-3
Stage-4
Stage-5
Handing Over Certificate
GRN Notiļ¬cations
Furniture GRN Notification
Classroom Articles GRN Notification
SportS GRN Notification