| Region | District | Tehsil | UC | Abandon | Level | BEMIS | Latitude | Longitude | Budget |
|---|---|---|---|---|---|---|---|---|---|
| 1 | Mastung | Mastung | Ghulam prainz | No | Middle | 10832 | 29.775069 | 66.82166 | 2210603 |
| PTSMC Notified | Land Mutation | PTSMCTrained | School Opening Date | Initial Enrollment | BEMIS Alloted |
|---|---|---|---|---|---|
| Yes | Yes | 6 | 2017-03-30 | 165 | Yes |
| Fitness/Topgraphic Survey | Water Test | Soil Test | D/ND Test | Completion Certificate | Current Stage |
| Yes | Yes | Yes | N/A | Yes | 5 |
| Furniture | Blackboard | TLM Kit | ECE Supply | ECE TLM | Wash Kit | First Aid | Sports Goods | Labortory | ICT Supply |
|---|---|---|---|---|---|---|---|---|---|
| Yes | Yes | Yes | Yes | Yes | Yes | Yes | Yes | No | No |
| Class Name | Attend Reg Girls | Attend Reg Boys | Attend Reg Total | Head Count Girls | Head Count Boys | HeadcountTotal |
|---|---|---|---|---|---|---|
| Kachi | 51 | 0 | 51 | 29 | 0 | 29 |
| Class 1 | 31 | 0 | 31 | 20 | 0 | 20 |
| Class 2 | 36 | 0 | 36 | 13 | 0 | 13 |
| Class 3 | 21 | 0 | 21 | 15 | 0 | 15 |
| Class 4 | 14 | 0 | 14 | 10 | 0 | 10 |
| Class 5 | 6 | 0 | 6 | 6 | 0 | 6 |
| Class 6 | 6 | 0 | 6 | 6 | 0 | 6 |
| Class 7 | 0 | 0 | 0 | 0 | 0 | 0 |
| Class 8 | 0 | 0 | 0 | 0 | 0 | 0 |
| Total | 165 | 0 | 165 | 99 | 0 | 99 |
| Teacher's Name | Father's Name | Husband's Name | Post | Academic Qualification | Professional Qualification | Contract Award | Date Of Joining | Trained On PTSMC | Trained On Domain |
|---|---|---|---|---|---|---|---|---|---|
| MAHJABEEN | KHAIR JAN | EST | Yes | 2018-03-01 | Yes | Yes | |||
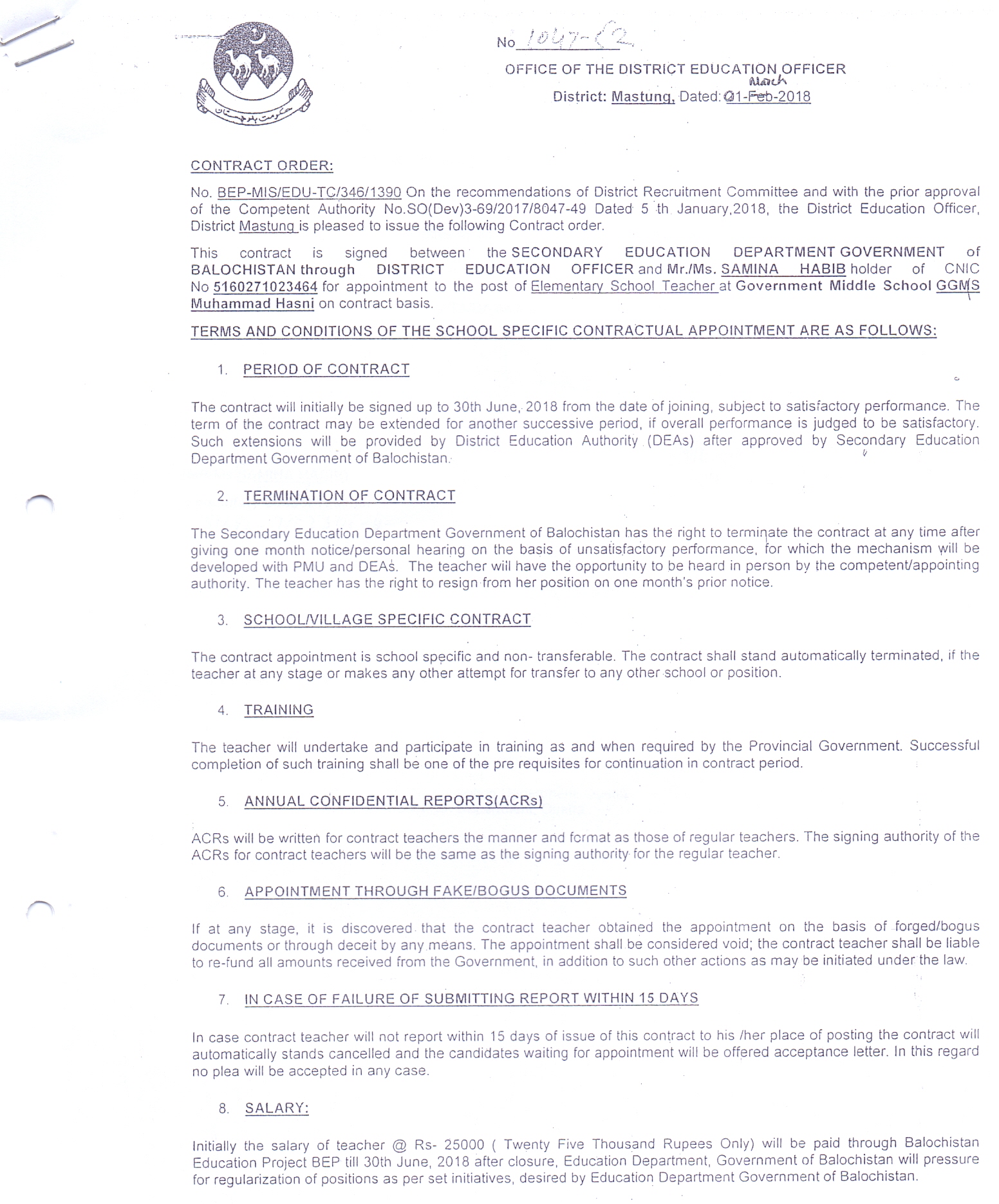
| SAMINA HABIB | HABIBULLAH | EST | Yes | 2018-03-01 | Yes | Yes |
| Name | Designation | Contact | Trained |
|---|---|---|---|
| Haji Abdul Qayoom | President | 03337793544 | Yes |
| Haji Muhammad Hanif | V.President | 03318232288 | Yes |
| Saifudin | Member | 03368186804 | Yes |
| Abdul Raheem | Finance Secretary | 03368083683 | Yes |
| Farzana | G.Secretry | Yes | |
| Khadija Khan | Member | 033323888197 | Yes |
Notiļ¬cations
Land Mutation
PTSMC Member Notification
Teacher Contract
Construction Works Stage Wise Updates
Stage-1
Stage-2
Stage-3
Stage-4
Stage-5
Handing Over Certificate
GRN Notiļ¬cations
Furniture GRN Notification
Classroom Articles GRN Notification
SportS GRN Notification