| Region | District | Tehsil | UC | Abandon | Level | BEMIS | Latitude | Longitude | Budget |
|---|---|---|---|---|---|---|---|---|---|
| 1 | Pishin | Karezat | Khanozai | No | Primary | 17885 | 30.459656 | 67.197851 |
| PTSMC Notified | Land Mutation | PTSMCTrained | School Opening Date | Initial Enrollment | BEMIS Alloted |
|---|---|---|---|---|---|
| Yes | Yes | 5 | 2017-08-01 | 25 | Yes |
| Fitness/Topgraphic Survey | Water Test | Soil Test | D/ND Test | Completion Certificate | Current Stage |
| Yes | Yes | Yes | N/A | Yes | 5 |
| Furniture | Blackboard | TLM Kit | ECE Supply | ECE TLM | Wash Kit | First Aid | Sports Goods | Labortory | ICT Supply |
|---|---|---|---|---|---|---|---|---|---|
| Yes | Yes | Yes | Yes | Yes | Yes | Yes | No | No | No |
| Class Name | Attend Reg Girls | Attend Reg Boys | Attend Reg Total | Head Count Girls | Head Count Boys | HeadcountTotal |
|---|---|---|---|---|---|---|
| Kachi | 3 | 2 | 5 | 3 | 2 | 5 |
| Class 1 | 1 | 1 | 2 | 1 | 1 | 2 |
| Class 2 | 0 | 0 | 0 | 0 | 0 | 0 |
| Class 3 | 0 | 2 | 2 | 0 | 2 | 2 |
| Class 4 | 1 | 1 | 2 | 1 | 1 | 2 |
| Class 5 | 2 | 0 | 2 | 2 | 0 | 2 |
| Total | 7 | 6 | 13 | 7 | 6 | 13 |
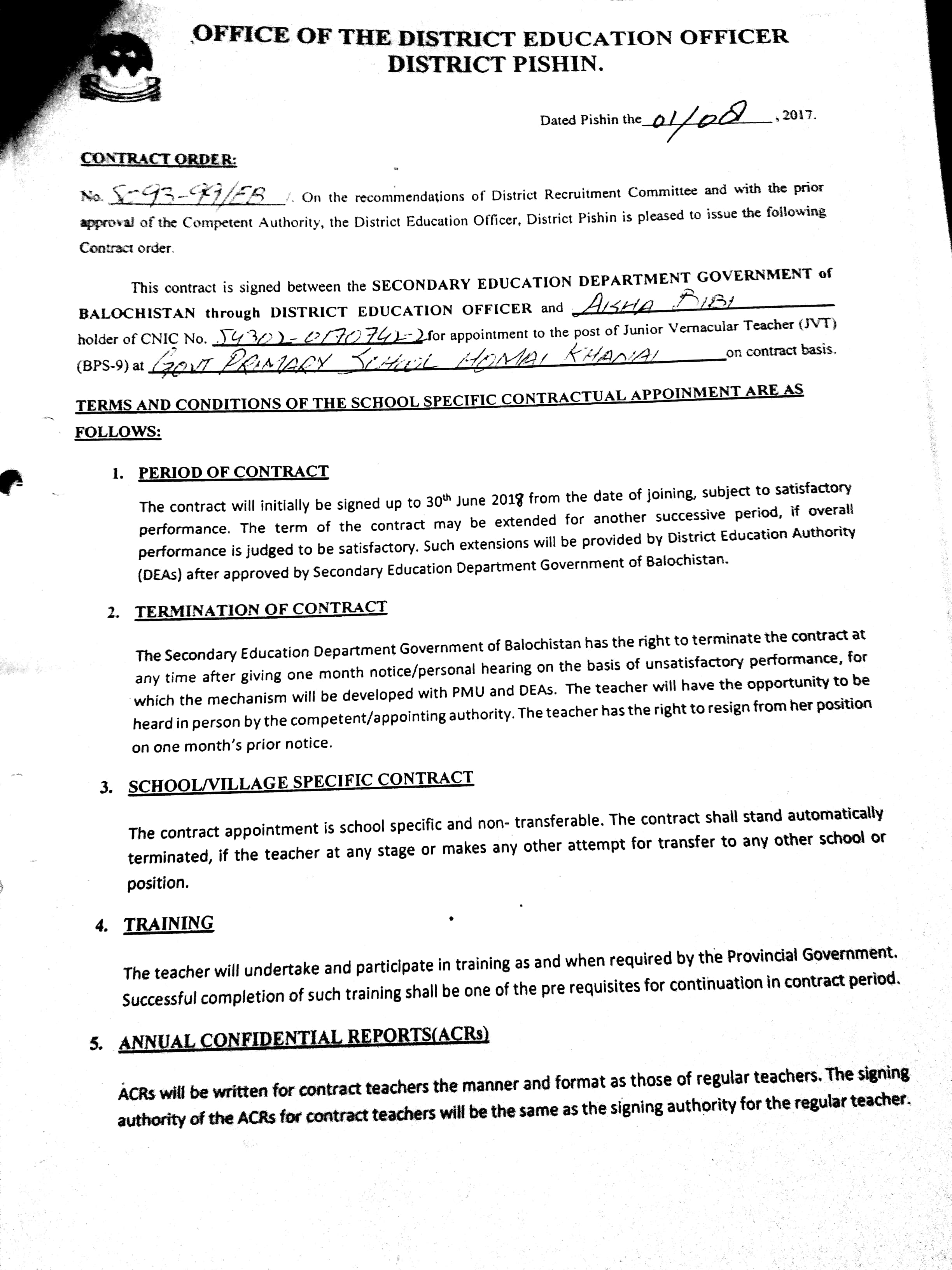
| Teacher's Name | Father's Name | Husband's Name | Post | Academic Qualification | Professional Qualification | Contract Award | Date Of Joining | Trained On PTSMC | Trained On Domain |
|---|---|---|---|---|---|---|---|---|---|
| Bakht Bibi | Abdul Wajid | JVT | BA | CT | Yes | 2017-08-01 | Yes | Yes | |
| Aisha Bibi | Abdul Qahir | JVT | BA | B.Ed | Yes | 2017-08-01 | Yes | Yes |
| Name | Designation | Contact | Trained |
|---|---|---|---|
| Allo Din | President | 03123804880 | Yes |
| Murtaza Kahn | V.President | 03138277527 | Yes |
| Atta Muhammad | Member | Yes | |
| Muhammad Waseem Khan | Member | 03132884296 | Yes |
| AIsha Bibi | G.Secretry | 03138341722 | Yes |
Notiļ¬cations
Land Mutation
PTSMC Member Notification
Teacher Contract
Construction Works Stage Wise Updates
Stage-1
Stage-2
Stage-3
Stage-4
Stage-5
Handing Over Certificate
GRN Notiļ¬cations
Furniture GRN Notification
Classroom Articles GRN Notification