| Region | District | Tehsil | UC | Abandon | Level | BEMIS | Latitude | Longitude | Budget |
|---|---|---|---|---|---|---|---|---|---|
| 1 | Pishin | Pishin | Malikyar | No | Primary | 17896 | 30.7191 | 67.1315 |
| PTSMC Notified | Land Mutation | PTSMCTrained | School Opening Date | Initial Enrollment | BEMIS Alloted |
|---|---|---|---|---|---|
| Yes | Yes | 4 | 2017-08-01 | 35 | Yes |
| Fitness/Topgraphic Survey | Water Test | Soil Test | D/ND Test | Completion Certificate | Current Stage |
| Yes | Yes | Yes | N/A | Yes | 5 |
| Furniture | Blackboard | TLM Kit | ECE Supply | ECE TLM | Wash Kit | First Aid | Sports Goods | Labortory | ICT Supply |
|---|---|---|---|---|---|---|---|---|---|
| Yes | Yes | Yes | Yes | Yes | Yes | Yes | No | No | No |
| Class Name | Attend Reg Girls | Attend Reg Boys | Attend Reg Total | Head Count Girls | Head Count Boys | HeadcountTotal |
|---|---|---|---|---|---|---|
| Kachi | 19 | 0 | 19 | 5 | 0 | 5 |
| Class 1 | 16 | 0 | 16 | 12 | 0 | 12 |
| Class 2 | 0 | 0 | 0 | 0 | 0 | 0 |
| Class 3 | 0 | 0 | 0 | 0 | 0 | 0 |
| Class 4 | 0 | 0 | 0 | 0 | 0 | 0 |
| Class 5 | 0 | 0 | 0 | 0 | 0 | 0 |
| Total | 35 | 0 | 35 | 17 | 0 | 17 |
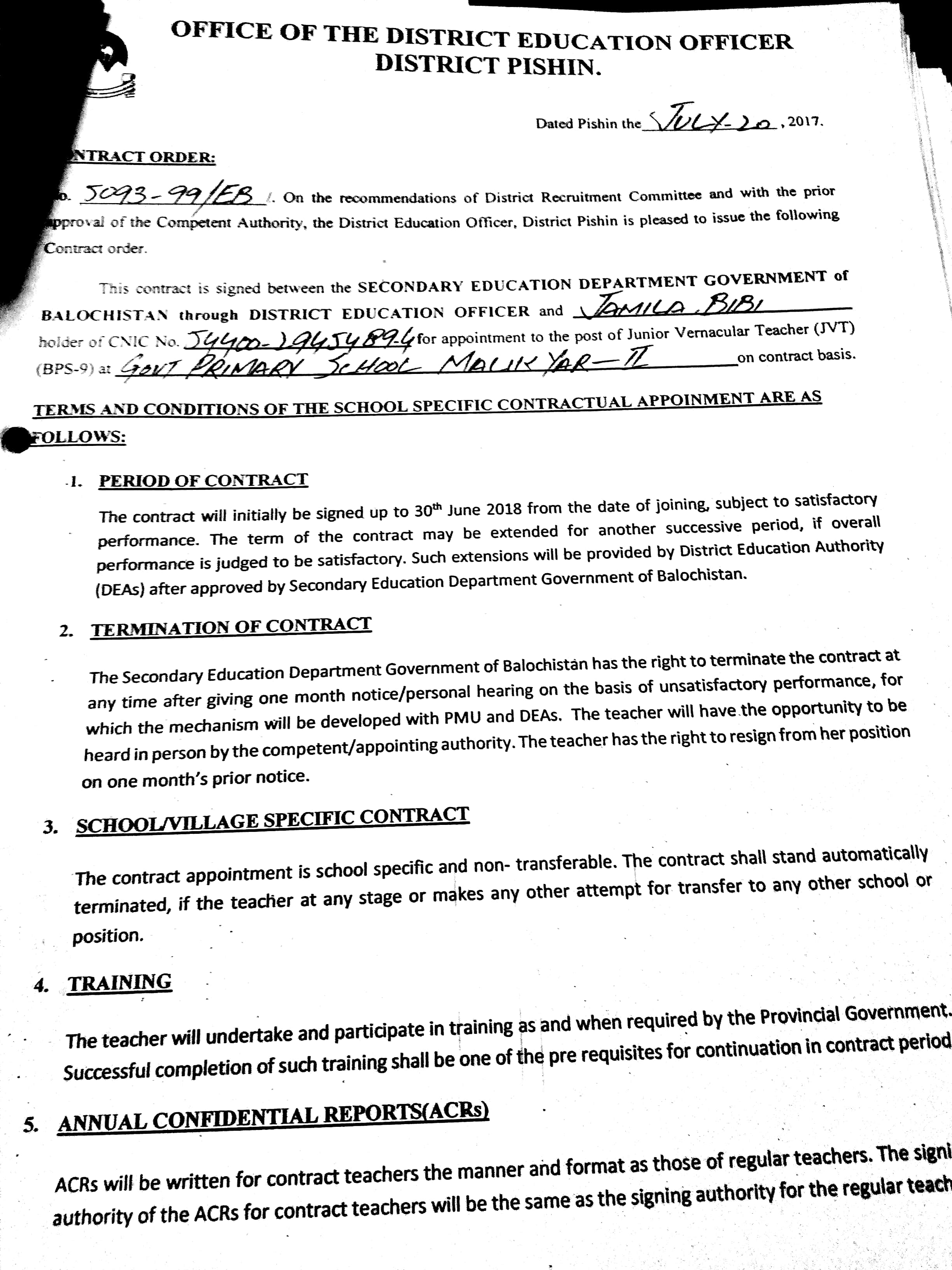
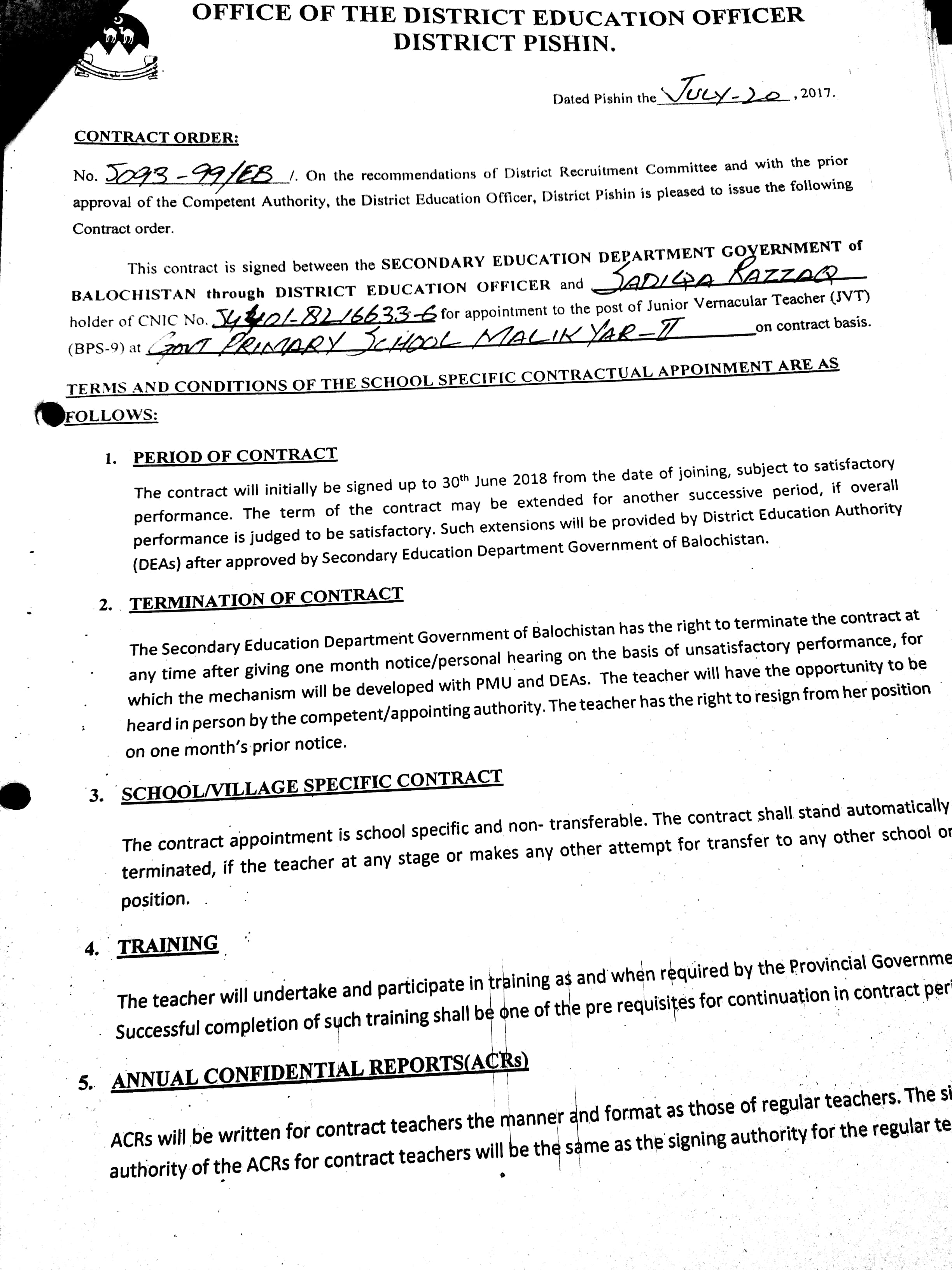
| Teacher's Name | Father's Name | Husband's Name | Post | Academic Qualification | Professional Qualification | Contract Award | Date Of Joining | Trained On PTSMC | Trained On Domain |
|---|---|---|---|---|---|---|---|---|---|
| Jamila Bibi | Haji Abdul Rasheed | JVT | BA | B.Ed | Yes | 2017-08-23 | Yes | Yes | |
| Siddiq Razzaq | Abdul Razzaq | JVT | MA | B.Ed | Yes | 2017-08-23 | Yes | Yes |
| Name | Designation | Contact | Trained |
|---|---|---|---|
| Dr, hayatullah | President | 3138363193 | Yes |
| haji dadullah | General secretary | 3058143858 | Yes |
| Haji razeeq | Vice president | 3318464205 | Yes |
| latifullah | treasurer | 3138363192 | Yes |
Notiļ¬cations
Land Mutation
PTSMC Member Notification
Teacher Contract
Construction Works Stage Wise Updates
Stage-1
Stage-2
Stage-3
Stage-4
Stage-5
Handing Over Certificate
GRN Notiļ¬cations
Furniture GRN Notification
Classroom Articles GRN Notification