| Region | District | Tehsil | UC | Abandon | Level | BEMIS | Latitude | Longitude | Budget |
|---|---|---|---|---|---|---|---|---|---|
| 1 | Pishin | Pishin | Malezai | No | Primary | 17893 | 30.208111 | 66.564228 | 2192644 |
| PTSMC Notified | Land Mutation | PTSMCTrained | School Opening Date | Initial Enrollment | BEMIS Alloted |
|---|---|---|---|---|---|
| Yes | Yes | 4 | 2017-08-01 | 45 | Yes |
| Fitness/Topgraphic Survey | Water Test | Soil Test | D/ND Test | Completion Certificate | Current Stage |
| Yes | Yes | Yes | N/A | Yes | 5 |
| Furniture | Blackboard | TLM Kit | ECE Supply | ECE TLM | Wash Kit | First Aid | Sports Goods | Labortory | ICT Supply |
|---|---|---|---|---|---|---|---|---|---|
| Yes | Yes | Yes | Yes | Yes | Yes | Yes | No | No | No |
| Class Name | Attend Reg Girls | Attend Reg Boys | Attend Reg Total | Head Count Girls | Head Count Boys | HeadcountTotal |
|---|---|---|---|---|---|---|
| Kachi | 8 | 7 | 15 | 8 | 7 | 15 |
| Class 1 | 4 | 1 | 5 | 4 | 1 | 5 |
| Class 2 | 0 | 0 | 0 | 0 | 0 | 0 |
| Class 3 | 0 | 0 | 0 | 0 | 0 | 0 |
| Class 4 | 0 | 0 | 0 | 0 | 0 | 0 |
| Class 5 | 0 | 0 | 0 | 0 | 0 | 0 |
| Total | 12 | 8 | 20 | 12 | 8 | 20 |
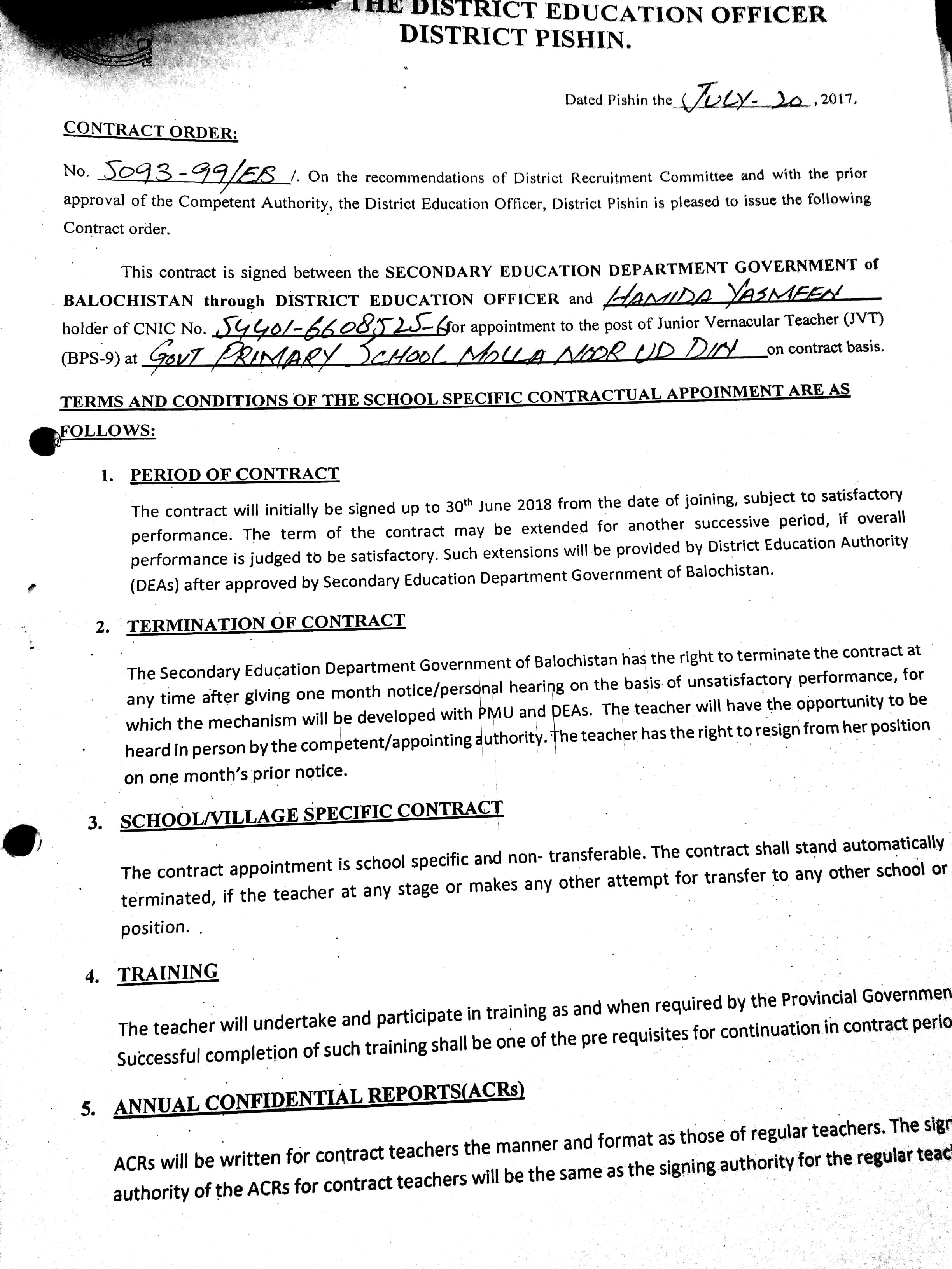
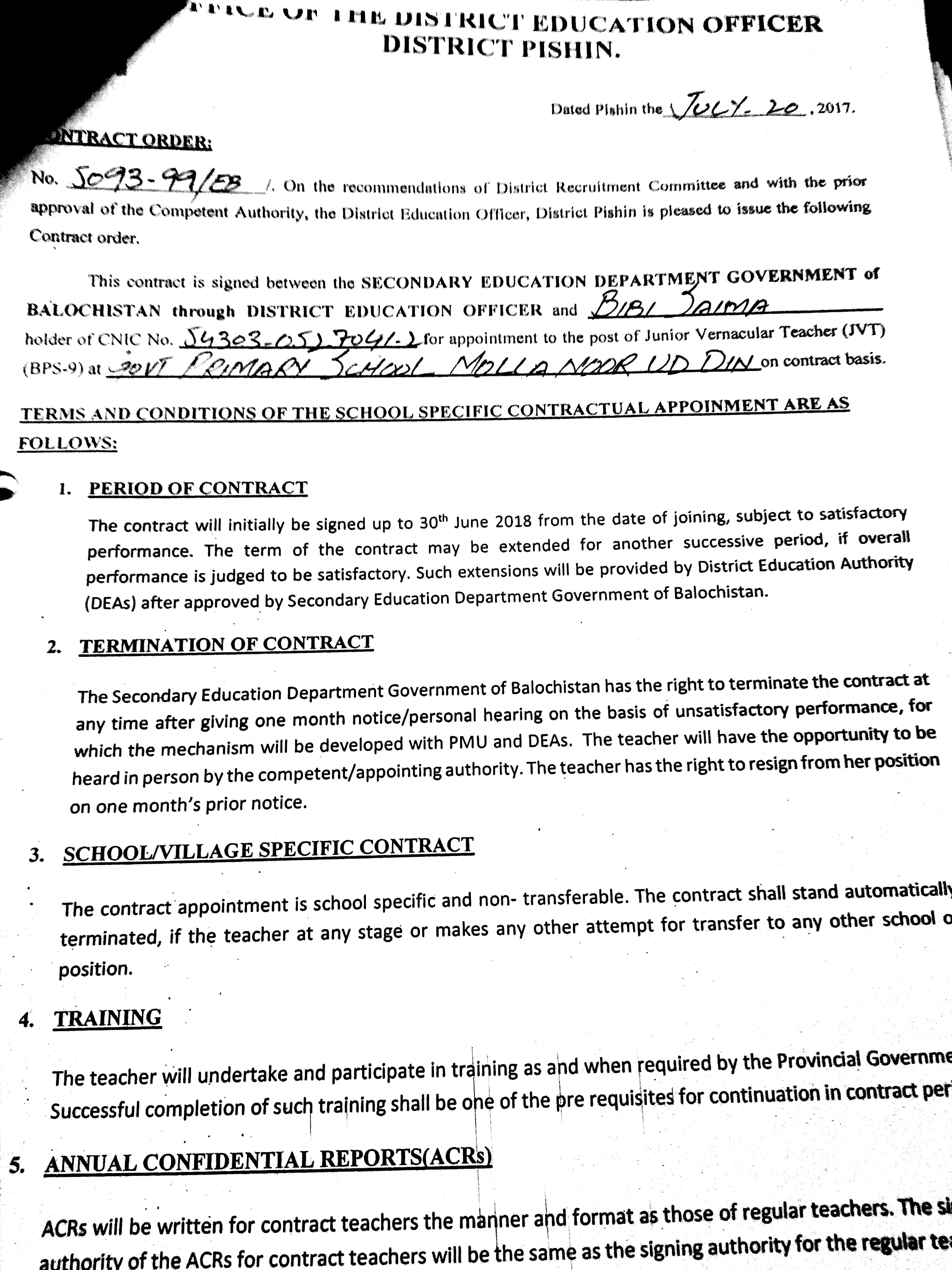
| Teacher's Name | Father's Name | Husband's Name | Post | Academic Qualification | Professional Qualification | Contract Award | Date Of Joining | Trained On PTSMC | Trained On Domain |
|---|---|---|---|---|---|---|---|---|---|
| Bibi Saima | Syed Bismillah | JVT | Bsc | Yes | 2017-07-24 | Yes | Yes | ||
| Hamida Yasmeen | Muhammad Aslam | JVT | FSc | PTC | Yes | 2017-07-27 | Yes | Yes |
| Name | Designation | Contact | Trained |
|---|---|---|---|
| Taj Muhammad | President | 03013784806 | Yes |
| Nizamudin | V.President | 03168100846 | Yes |
| Gulla Ahmed | G.Secretry | 03136214527 | Yes |
| Seyed Ahmedullah | Finance Secretary | 03142585400 | Yes |
Notiļ¬cations
Land Mutation
PTSMC Member Notification
Teacher Contract
Construction Works Stage Wise Updates
Stage-1
Stage-2
Stage-3
Stage-4
Stage-5
Handing Over Certificate
GRN Notiļ¬cations
Furniture GRN Notification
Classroom Articles GRN Notification