| Region | District | Tehsil | UC | Abandon | Level | BEMIS | Latitude | Longitude | Budget |
|---|---|---|---|---|---|---|---|---|---|
| 2 | Khuzdar | Nal | Ornach | No | Primary | 17609 | 26.673363 | 66.33965261 |
| PTSMC Notified | Land Mutation | PTSMCTrained | School Opening Date | Initial Enrollment | BEMIS Alloted |
|---|---|---|---|---|---|
| Yes | Yes | 5 | 2017-03-22 | 46 | Yes |
| Fitness/Topgraphic Survey | Water Test | Soil Test | D/ND Test | Completion Certificate | Current Stage |
| Yes | Yes | Yes | N/A | Yes | 5 |
| Furniture | Blackboard | TLM Kit | ECE Supply | ECE TLM | Wash Kit | First Aid | Sports Goods | Labortory | ICT Supply |
|---|---|---|---|---|---|---|---|---|---|
| Yes | Yes | Yes | Yes | Yes | Yes | Yes | No | No | No |
| Class Name | Attend Reg Girls | Attend Reg Boys | Attend Reg Total | Head Count Girls | Head Count Boys | HeadcountTotal |
|---|---|---|---|---|---|---|
| Kachi | 13 | 17 | 30 | 7 | 8 | 15 |
| Class 1 | 8 | 2 | 10 | 8 | 2 | 10 |
| Class 2 | 5 | 1 | 6 | 3 | 0 | 3 |
| Class 3 | 1 | 1 | 2 | 0 | 0 | 0 |
| Class 4 | 1 | 0 | 1 | 1 | 0 | 1 |
| Class 5 | 5 | 2 | 7 | 4 | 0 | 4 |
| Total | 33 | 23 | 56 | 23 | 10 | 33 |
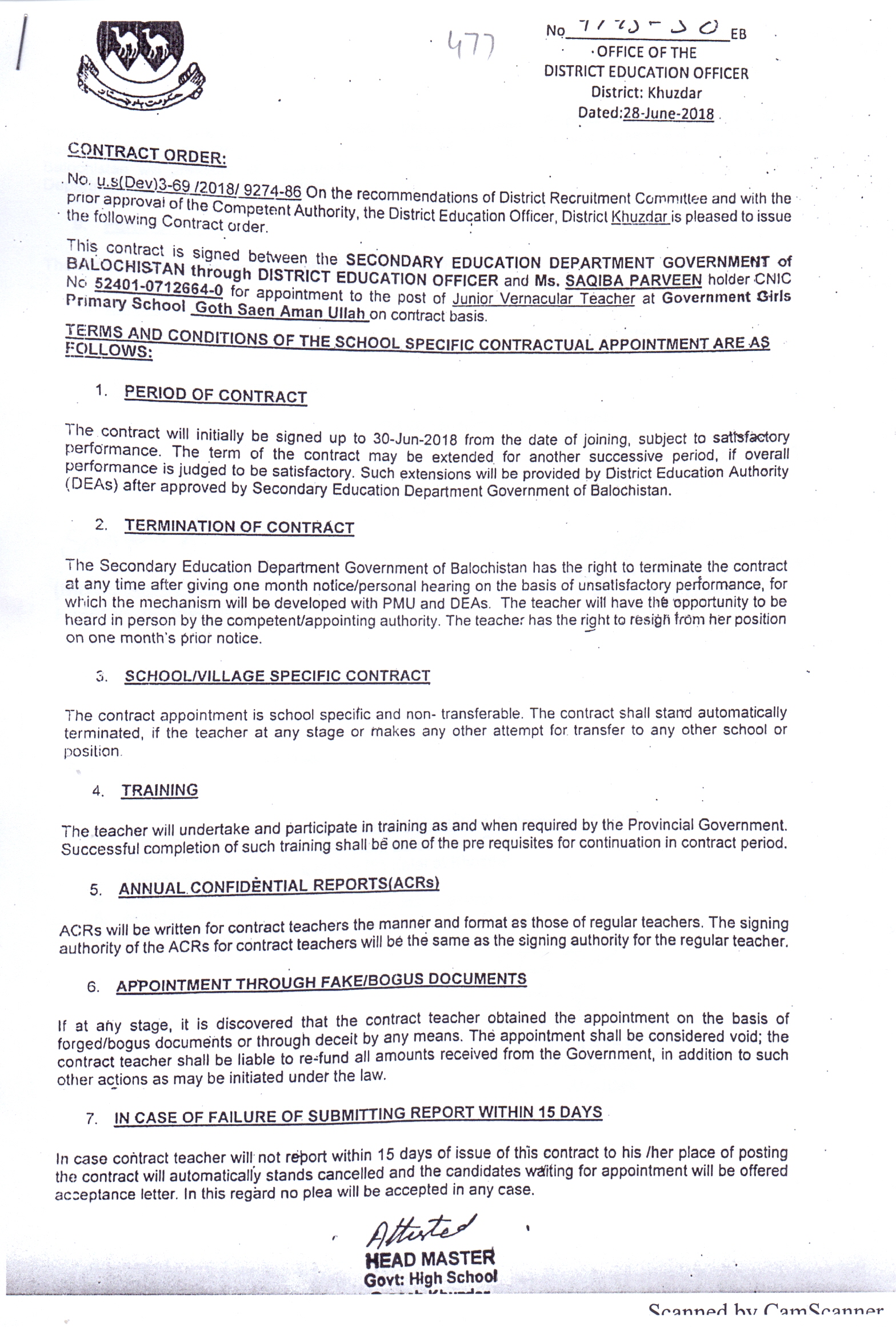
| Teacher's Name | Father's Name | Husband's Name | Post | Academic Qualification | Professional Qualification | Contract Award | Date Of Joining | Trained On PTSMC | Trained On Domain |
|---|---|---|---|---|---|---|---|---|---|
| Roqiza | Asadullah | JVT | Intermadiate | Yes | 2017-03-22 | Yes | Yes | ||
| Saqiba Perveen | Mohammad Aslam | JVT | Graduation | PTC | Yes | 2018-06-28 | Yes |
| Name | Designation | Contact | Trained |
|---|---|---|---|
| Abdul Basit | President | 3138717676 | Yes |
| Roqiza | General Secretary | Yes | |
| Abdul Sattar | Member | Yes | |
| Rehmatullah | Member | Yes | |
| Saleh Mohammad | Member | Yes |
Notiļ¬cations
Land Mutation
PTSMC Member Notification
Teacher Contract
Construction Works Stage Wise Updates
Stage-1
Stage-2
Stage-3
Stage-4
Stage-5
Handing Over Certificate
GRN Notiļ¬cations
Furniture GRN Notification
Classroom Articles GRN Notification