| Region | District | Tehsil | UC | Abandon | Level | BEMIS | Latitude | Longitude | Budget |
|---|---|---|---|---|---|---|---|---|---|
| 5 | Naseer abad | Tamboo | Fateh muhammad | No | Primary | 17832 | 28.3837 | 67.9331 |
| PTSMC Notified | Land Mutation | PTSMCTrained | School Opening Date | Initial Enrollment | BEMIS Alloted |
|---|---|---|---|---|---|
| Yes | Yes | 4 | 2017-09-22 | 44 | Yes |
| Fitness/Topgraphic Survey | Water Test | Soil Test | D/ND Test | Completion Certificate | Current Stage |
| Yes | N/A | Yes | N/A | Yes | 5 |
| Furniture | Blackboard | TLM Kit | ECE Supply | ECE TLM | Wash Kit | First Aid | Sports Goods | Labortory | ICT Supply |
|---|---|---|---|---|---|---|---|---|---|
| Yes | Yes | Yes | Yes | Yes | Yes | Yes | No | No | No |
| Class Name | Attend Reg Girls | Attend Reg Boys | Attend Reg Total | Head Count Girls | Head Count Boys | HeadcountTotal |
|---|---|---|---|---|---|---|
| Kachi | 24 | 13 | 37 | 15 | 9 | 24 |
| Class 1 | 13 | 3 | 16 | 3 | 3 | 6 |
| Class 2 | 1 | 0 | 1 | 1 | 0 | 1 |
| Class 3 | 0 | 0 | 0 | 0 | 0 | 0 |
| Class 4 | 1 | 0 | 1 | 0 | 0 | 0 |
| Class 5 | 0 | 0 | 0 | 0 | 0 | 0 |
| Total | 39 | 16 | 55 | 19 | 12 | 31 |
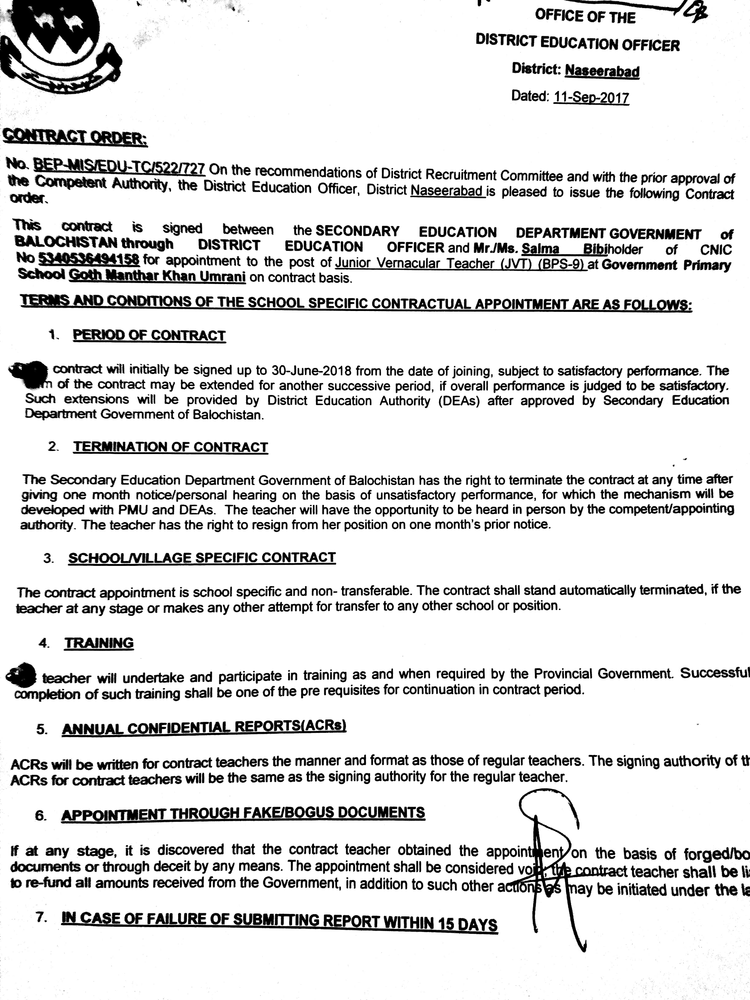
| Teacher's Name | Father's Name | Husband's Name | Post | Academic Qualification | Professional Qualification | Contract Award | Date Of Joining | Trained On PTSMC | Trained On Domain |
|---|---|---|---|---|---|---|---|---|---|
| Salma Bibi | Ubaidullah | JVT | Yes | Yes | |||||
| Fouzia Aziz | Azizullah | JVT | Yes | Yes |
| Name | Designation | Contact | Trained |
|---|---|---|---|
| Mohammad Shafi | President | 03030183850 | Yes |
| Hazoor baksh | Vice President | 0305812444 | Yes |
| Hussain baksh | Finance Secretary | 03158315162 | Yes |
| Mohammad Qasim | Member | 03003886614 | Yes |
Notiļ¬cations
Land Mutation
PTSMC Member Notification
Teacher Contract
Construction Works Stage Wise Updates
Stage-1
Stage-2
Stage-3
Stage-4
Stage-5
Handing Over Certificate
GRN Notiļ¬cations
Furniture GRN Notification
Classroom Articles GRN Notification