| Region | District | Tehsil | UC | Abandon | Level | BEMIS | Latitude | Longitude | Budget |
|---|---|---|---|---|---|---|---|---|---|
| 5 | Naseer abad | Chattar | Shah pur | No | Primary | 17811 | 28.66071 | 68.32024 |
| PTSMC Notified | Land Mutation | PTSMCTrained | School Opening Date | Initial Enrollment | BEMIS Alloted |
|---|---|---|---|---|---|
| Yes | Yes | 4 | 2017-09-22 | 35 | Yes |
| Fitness/Topgraphic Survey | Water Test | Soil Test | D/ND Test | Completion Certificate | Current Stage |
| Yes | N/A | Yes | N/A | Yes | 5 |
| Furniture | Blackboard | TLM Kit | ECE Supply | ECE TLM | Wash Kit | First Aid | Sports Goods | Labortory | ICT Supply |
|---|---|---|---|---|---|---|---|---|---|
| Yes | Yes | Yes | Yes | Yes | Yes | Yes | No | No | No |
| Class Name | Attend Reg Girls | Attend Reg Boys | Attend Reg Total | Head Count Girls | Head Count Boys | HeadcountTotal |
|---|---|---|---|---|---|---|
| Kachi | 12 | 23 | 35 | 10 | 18 | 28 |
| Class 1 | 10 | 20 | 30 | 10 | 16 | 26 |
| Class 2 | 6 | 3 | 9 | 6 | 1 | 7 |
| Class 3 | 1 | 1 | 2 | 1 | 1 | 2 |
| Class 4 | 0 | 1 | 1 | 0 | 1 | 1 |
| Class 5 | 0 | 0 | 0 | 0 | 0 | 0 |
| Total | 29 | 48 | 77 | 27 | 37 | 64 |
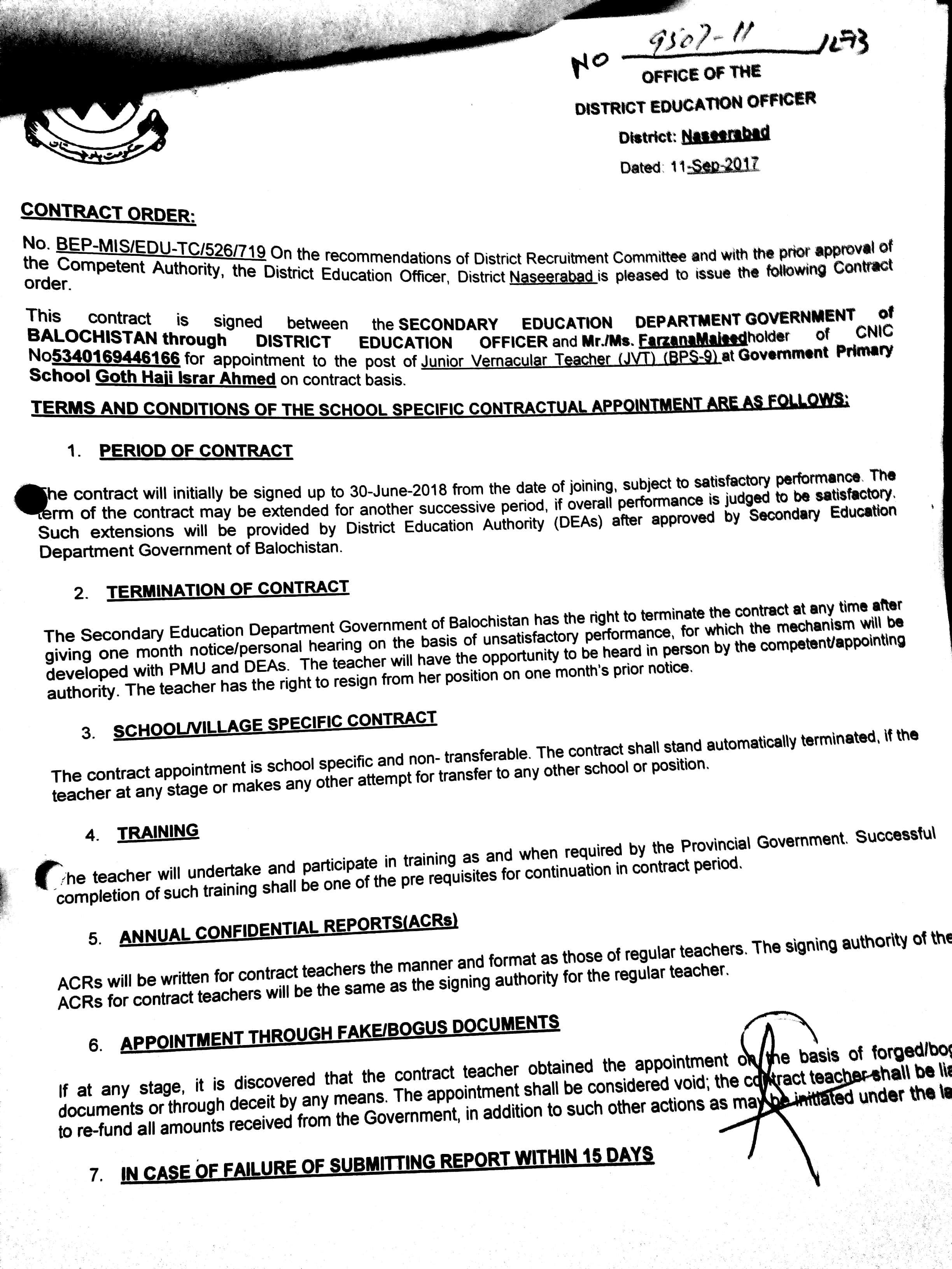
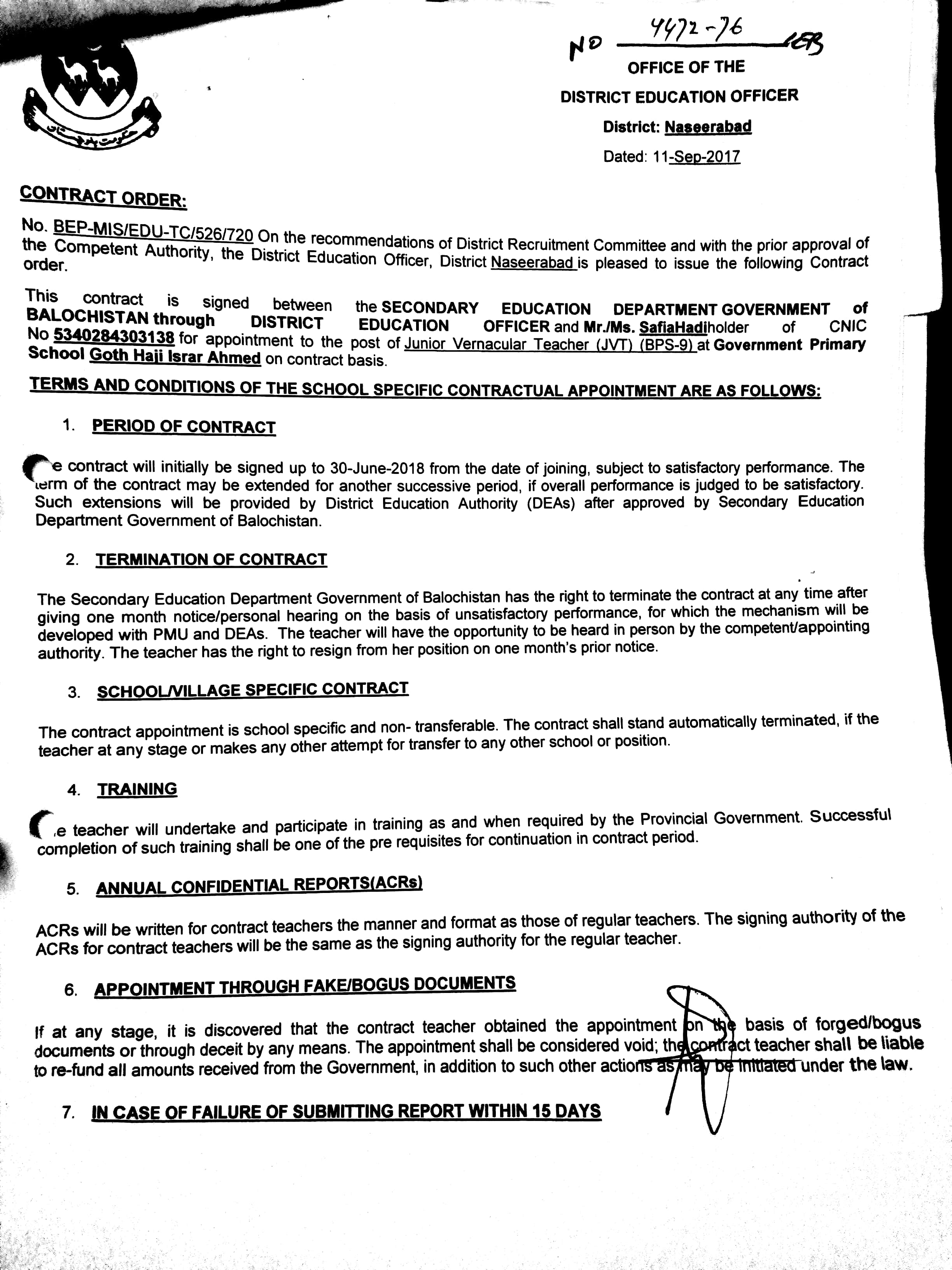
| Teacher's Name | Father's Name | Husband's Name | Post | Academic Qualification | Professional Qualification | Contract Award | Date Of Joining | Trained On PTSMC | Trained On Domain |
|---|---|---|---|---|---|---|---|---|---|
| Farzana Majeed | ABdul Majeed | JVT | Yes | Yes | |||||
| Safia Hadi | Ghulam Hadi | JVT | Yes | Yes |
| Name | Designation | Contact | Trained |
|---|---|---|---|
| Khadim Hussain | President | 03456427396 | Yes |
| Abdul Majeed | Vice President | 03452170604 | Yes |
| Sadam Hussain | Finance Secretary | 03024292170 | Yes |
| Mohammad Qasim | Member | 03058105206 | Yes |
Notiļ¬cations
Land Mutation
PTSMC Member Notification
Teacher Contract
Construction Works Stage Wise Updates
Stage-1
Stage-2
Stage-3
Stage-4
Stage-5
Handing Over Certificate
GRN Notiļ¬cations
Furniture GRN Notification
Classroom Articles GRN Notification