| Region | District | Tehsil | UC | Abandon | Level | BEMIS | Latitude | Longitude | Budget |
|---|---|---|---|---|---|---|---|---|---|
| 5 | Jafer Abad | Jhat pat | Soorah | No | Primary | 17508 | 28.28019 | 68.10973 |
| PTSMC Notified | Land Mutation | PTSMCTrained | School Opening Date | Initial Enrollment | BEMIS Alloted |
|---|---|---|---|---|---|
| Yes | Yes | 5 | 2017-09-25 | 61 | Yes |
| Fitness/Topgraphic Survey | Water Test | Soil Test | D/ND Test | Completion Certificate | Current Stage |
| Yes | Yes | Yes | N/A | Yes | 5 |
| Furniture | Blackboard | TLM Kit | ECE Supply | ECE TLM | Wash Kit | First Aid | Sports Goods | Labortory | ICT Supply |
|---|---|---|---|---|---|---|---|---|---|
| Yes | Yes | Yes | Yes | Yes | Yes | Yes | No | No | No |
| Class Name | Attend Reg Girls | Attend Reg Boys | Attend Reg Total | Head Count Girls | Head Count Boys | HeadcountTotal |
|---|---|---|---|---|---|---|
| Kachi | 28 | 21 | 49 | 20 | 15 | 35 |
| Class 1 | 15 | 29 | 44 | 8 | 23 | 31 |
| Class 2 | 0 | 0 | 0 | 0 | 0 | 0 |
| Class 3 | 0 | 1 | 1 | 0 | 1 | 1 |
| Class 4 | 0 | 0 | 0 | 0 | 0 | 0 |
| Class 5 | 0 | 0 | 0 | 0 | 0 | 0 |
| Total | 43 | 51 | 94 | 28 | 39 | 67 |
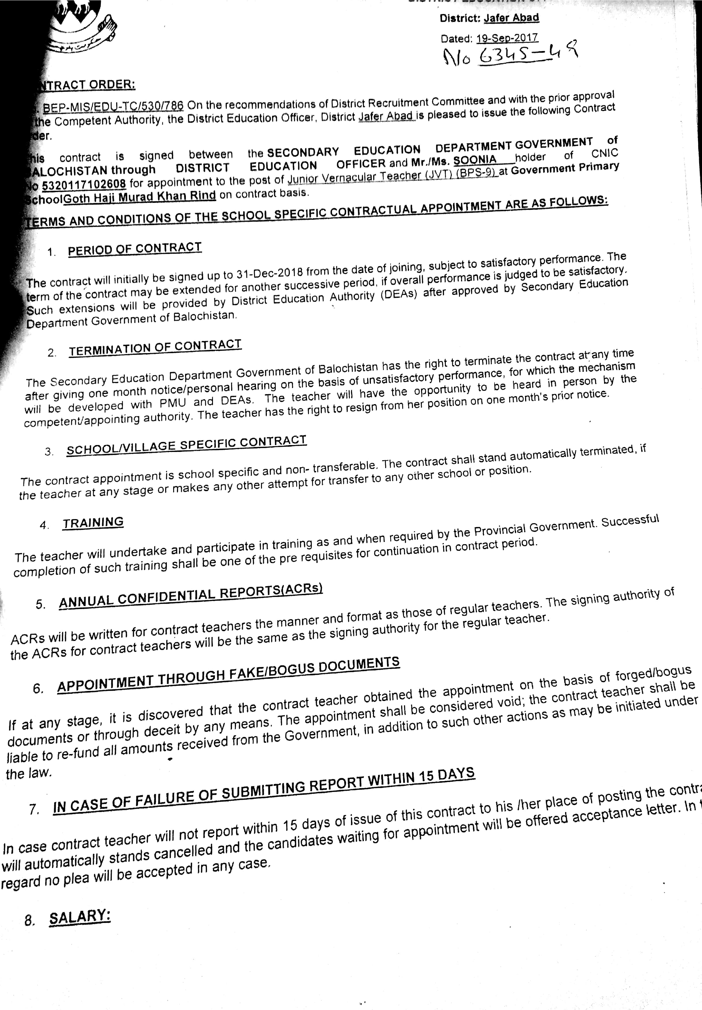
| Teacher's Name | Father's Name | Husband's Name | Post | Academic Qualification | Professional Qualification | Contract Award | Date Of Joining | Trained On PTSMC | Trained On Domain |
|---|---|---|---|---|---|---|---|---|---|
| SOONIA | ALI NAWAZ CHALGARI | JVT | Yes | Yes | |||||
| SHABANA | ADAM KHAN | JVT | Yes | Yes |
| Name | Designation | Contact | Trained |
|---|---|---|---|
| Abdul Kareem | President | 03337343560 | Yes |
| Maiya Khan | Vice President | 03003703314 | Yes |
| Mirza Khan | Finance Secretary | 03458980073 | Yes |
| Ali Gul | Member | 03452481244 | Yes |
| Shabana | GENERAL SECRETARY | Yes |
Notiļ¬cations
Land Mutation
PTSMC Member Notification
Teacher Contract
Construction Works Stage Wise Updates
Stage-1
Stage-2
Stage-3
Stage-4
Stage-5
Handing Over Certificate
GRN Notiļ¬cations
Furniture GRN Notification
Classroom Articles GRN Notification