| Region | District | Tehsil | UC | Abandon | Level | BEMIS | Latitude | Longitude | Budget |
|---|---|---|---|---|---|---|---|---|---|
| 5 | Jafer Abad | Jhat pat | Yet garh | No | Primary | 17500 | 28.3628 | 68.2243 |
| PTSMC Notified | Land Mutation | PTSMCTrained | School Opening Date | Initial Enrollment | BEMIS Alloted |
|---|---|---|---|---|---|
| Yes | Yes | 5 | 2017-09-25 | 35 | Yes |
| Fitness/Topgraphic Survey | Water Test | Soil Test | D/ND Test | Completion Certificate | Current Stage |
| Yes | N/A | Yes | N/A | Yes | 5 |
| Furniture | Blackboard | TLM Kit | ECE Supply | ECE TLM | Wash Kit | First Aid | Sports Goods | Labortory | ICT Supply |
|---|---|---|---|---|---|---|---|---|---|
| Yes | Yes | Yes | Yes | Yes | Yes | Yes | No | No | No |
| Class Name | Attend Reg Girls | Attend Reg Boys | Attend Reg Total | Head Count Girls | Head Count Boys | HeadcountTotal |
|---|---|---|---|---|---|---|
| Kachi | 20 | 6 | 26 | 17 | 6 | 23 |
| Class 1 | 16 | 1 | 17 | 16 | 1 | 17 |
| Class 2 | 4 | 0 | 4 | 4 | 0 | 4 |
| Class 3 | 0 | 0 | 0 | 0 | 0 | 0 |
| Class 4 | 0 | 0 | 0 | 0 | 10 | 10 |
| Class 5 | 3 | 0 | 3 | 2 | 0 | 2 |
| Total | 43 | 7 | 50 | 39 | 17 | 56 |
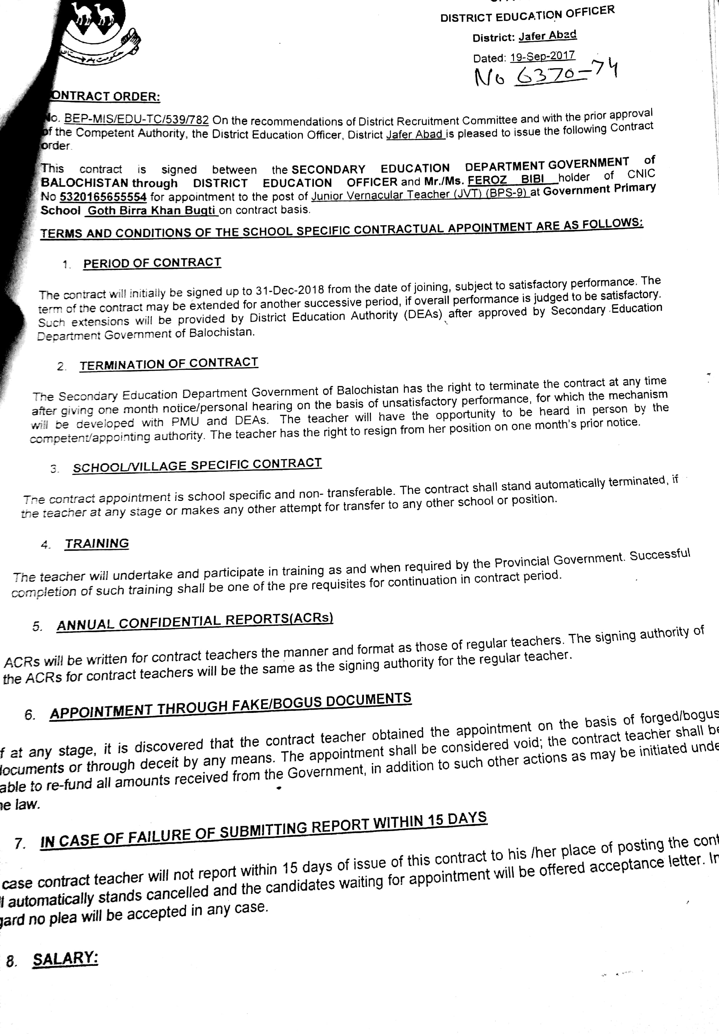
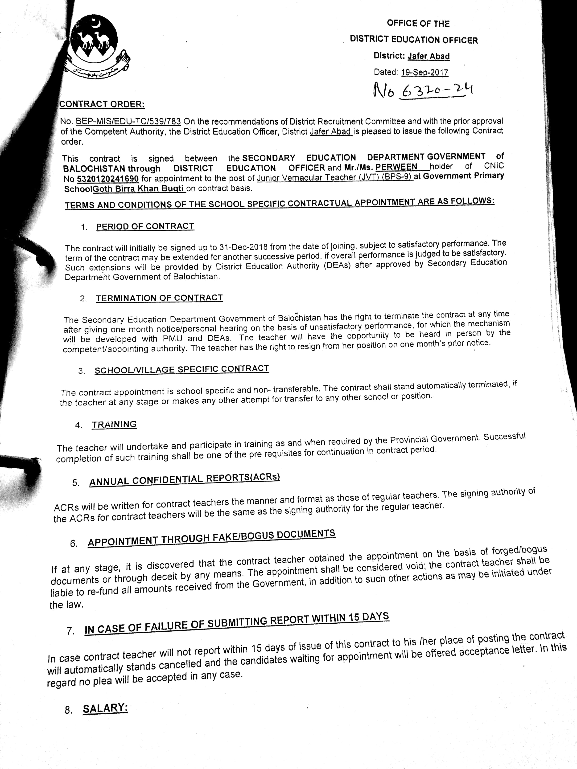
| Teacher's Name | Father's Name | Husband's Name | Post | Academic Qualification | Professional Qualification | Contract Award | Date Of Joining | Trained On PTSMC | Trained On Domain |
|---|---|---|---|---|---|---|---|---|---|
| FEROZ BIBI | SHAMSUDDIN KHOSA | JVT | Yes | Yes | |||||
| PERWEEN | GANHAWAR KHAN RIND | JVT | Yes | Yes |
| Name | Designation | Contact | Trained |
|---|---|---|---|
| Imanullah | President | 03473909678 | Yes |
| Mohammad Nawaz | Vice President | 03455913886 | Yes |
| Azizullah | Finance Secretary | 03453298495 | Yes |
| Naseebullah | Member | 03443840186 | Yes |
| Parveen | Member | Yes |
Notiļ¬cations
Land Mutation
PTSMC Member Notification
Teacher Contract
Construction Works Stage Wise Updates
Stage-1
Stage-2
Stage-3
Stage-4
Stage-5
Handing Over Certificate
GRN Notiļ¬cations
Furniture GRN Notification
Classroom Articles GRN Notification