| Region | District | Tehsil | UC | Abandon | Level | BEMIS | Latitude | Longitude | Budget |
|---|---|---|---|---|---|---|---|---|---|
| 6 | Washuk | Basima | Kuragi | No | Primary | 18009 | 27.86236 | 65.88968 |
| PTSMC Notified | Land Mutation | PTSMCTrained | School Opening Date | Initial Enrollment | BEMIS Alloted |
|---|---|---|---|---|---|
| Yes | Yes | 5 | 2017-03-11 | 19 | Yes |
| Fitness/Topgraphic Survey | Water Test | Soil Test | D/ND Test | Completion Certificate | Current Stage |
| Yes | Yes | Yes | N/A | Yes | 5 |
| Furniture | Blackboard | TLM Kit | ECE Supply | ECE TLM | Wash Kit | First Aid | Sports Goods | Labortory | ICT Supply |
|---|---|---|---|---|---|---|---|---|---|
| Yes | Yes | Yes | Yes | Yes | Yes | Yes | No | No | No |
| Class Name | Attend Reg Girls | Attend Reg Boys | Attend Reg Total | Head Count Girls | Head Count Boys | HeadcountTotal |
|---|---|---|---|---|---|---|
| Kachi | 2 | 4 | 6 | 2 | 4 | 6 |
| Class 1 | 7 | 9 | 16 | 7 | 9 | 16 |
| Class 2 | 0 | 0 | 0 | 0 | 0 | 0 |
| Class 3 | 0 | 0 | 0 | 0 | 0 | 0 |
| Class 4 | 0 | 0 | 0 | 0 | 0 | 0 |
| Class 5 | 0 | 0 | 0 | 0 | 0 | 0 |
| Total | 9 | 13 | 22 | 9 | 13 | 22 |
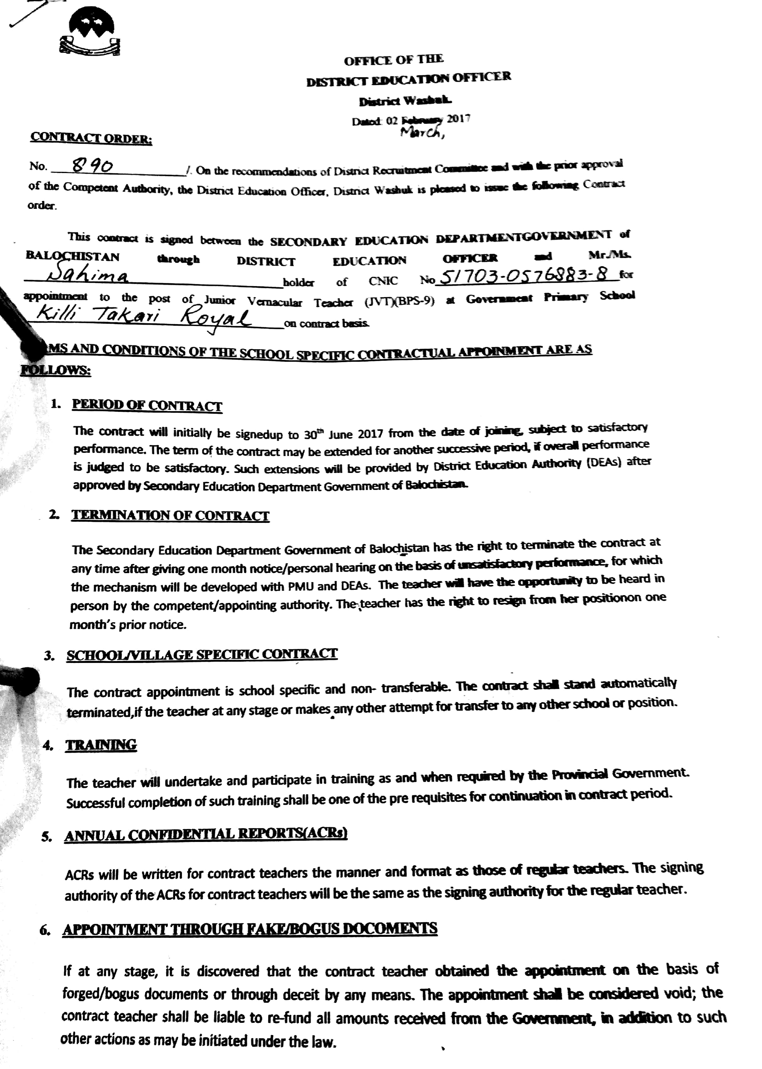
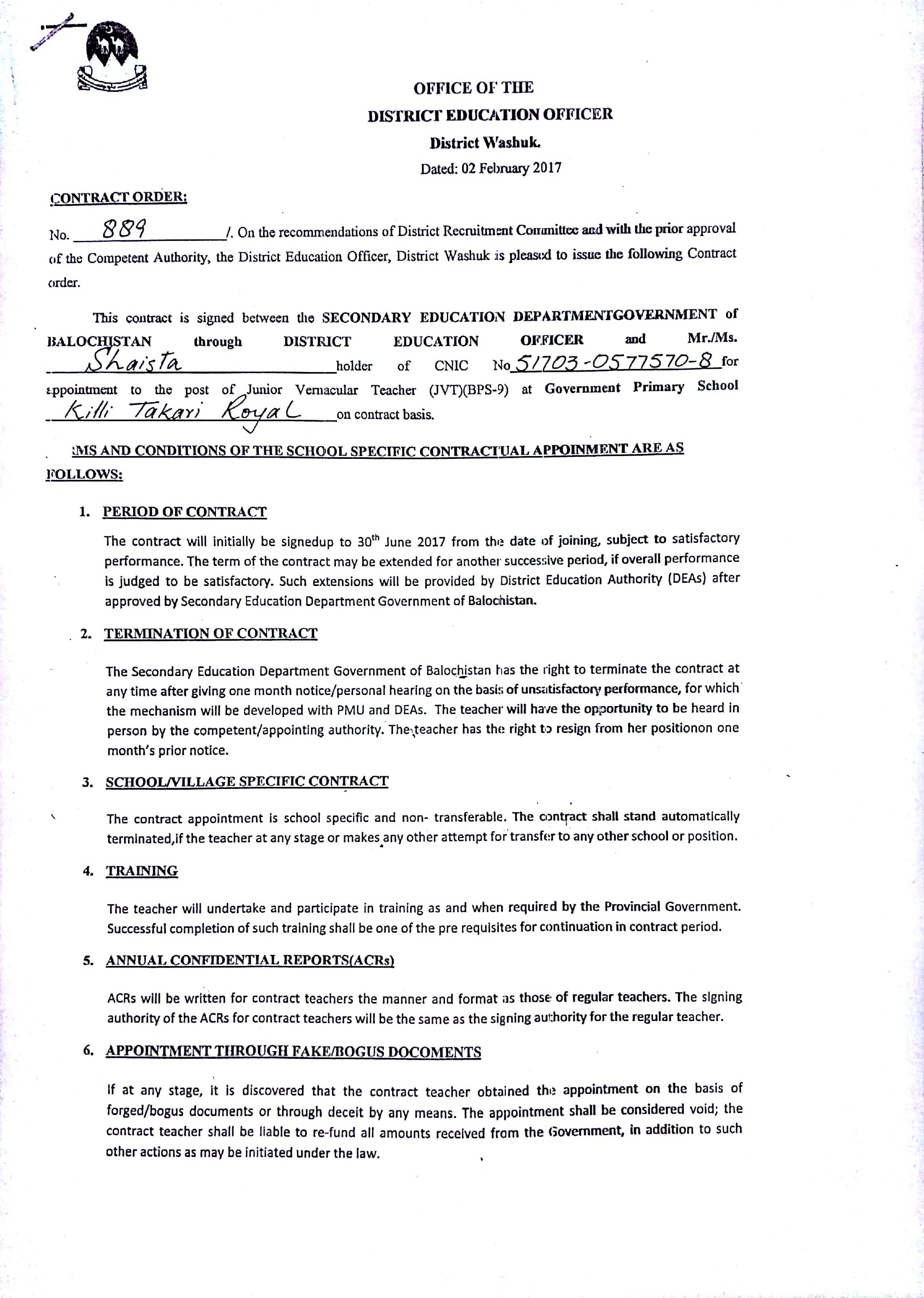
| Teacher's Name | Father's Name | Husband's Name | Post | Academic Qualification | Professional Qualification | Contract Award | Date Of Joining | Trained On PTSMC | Trained On Domain |
|---|---|---|---|---|---|---|---|---|---|
| sahima | Abdul qadir | JVT | BA | PTC | Yes | 2017-03-11 | Yes | Yes | |
| Shaista | Abdul Qadir | JVT | Intermediate | PTC | Yes | 2017-03-11 | Yes | Yes |
| Name | Designation | Contact | Trained |
|---|---|---|---|
| Takari Peerak | President | 825528910 | Yes |
| Mehbob | Finance | 00000000000 | Yes |
| m.Sharef | v President | 00000000000 | Yes |
| Badur | Finance | 00000000000 | Yes |
| shaista | Member | 00000000000 | Yes |
Notiļ¬cations
Land Mutation
PTSMC Member Notification
Teacher Contract
Construction Works Stage Wise Updates
Stage-1
Stage-2
Stage-3
Stage-4
Stage-5
Handing Over Certificate
GRN Notiļ¬cations
Furniture GRN Notification
Classroom Articles GRN Notification