| Region | District | Tehsil | UC | Abandon | Level | BEMIS | Latitude | Longitude | Budget |
|---|---|---|---|---|---|---|---|---|---|
| 6 | Washuk | Basima | Basima | No | Primary | 18000 | 27.83088 | 65.80355 |
| PTSMC Notified | Land Mutation | PTSMCTrained | School Opening Date | Initial Enrollment | BEMIS Alloted |
|---|---|---|---|---|---|
| Yes | Yes | 5 | 2017-03-11 | 70 | Yes |
| Fitness/Topgraphic Survey | Water Test | Soil Test | D/ND Test | Completion Certificate | Current Stage |
| Yes | Yes | Yes | N/A | Yes | 5 |
| Furniture | Blackboard | TLM Kit | ECE Supply | ECE TLM | Wash Kit | First Aid | Sports Goods | Labortory | ICT Supply |
|---|---|---|---|---|---|---|---|---|---|
| Yes | Yes | Yes | Yes | Yes | Yes | Yes | No | No | No |
| Class Name | Attend Reg Girls | Attend Reg Boys | Attend Reg Total | Head Count Girls | Head Count Boys | HeadcountTotal |
|---|---|---|---|---|---|---|
| Kachi | 37 | 27 | 64 | 33 | 24 | 57 |
| Class 1 | 8 | 9 | 17 | 7 | 7 | 14 |
| Class 2 | 0 | 0 | 0 | 0 | 0 | 0 |
| Class 3 | 0 | 0 | 0 | 0 | 0 | 0 |
| Class 4 | 0 | 0 | 0 | 0 | 0 | 0 |
| Class 5 | 0 | 0 | 0 | 0 | 0 | 0 |
| Total | 45 | 36 | 81 | 40 | 31 | 71 |
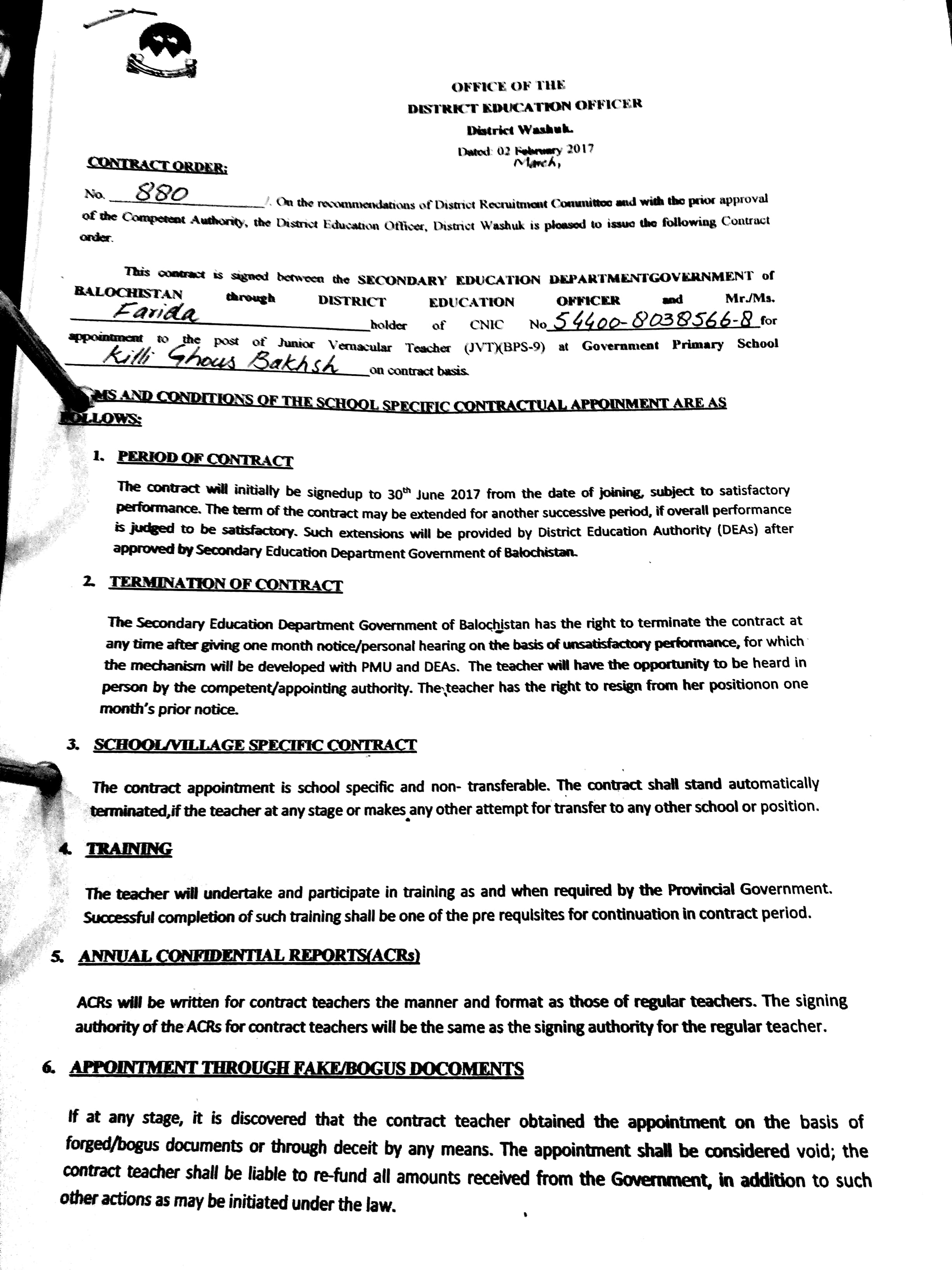
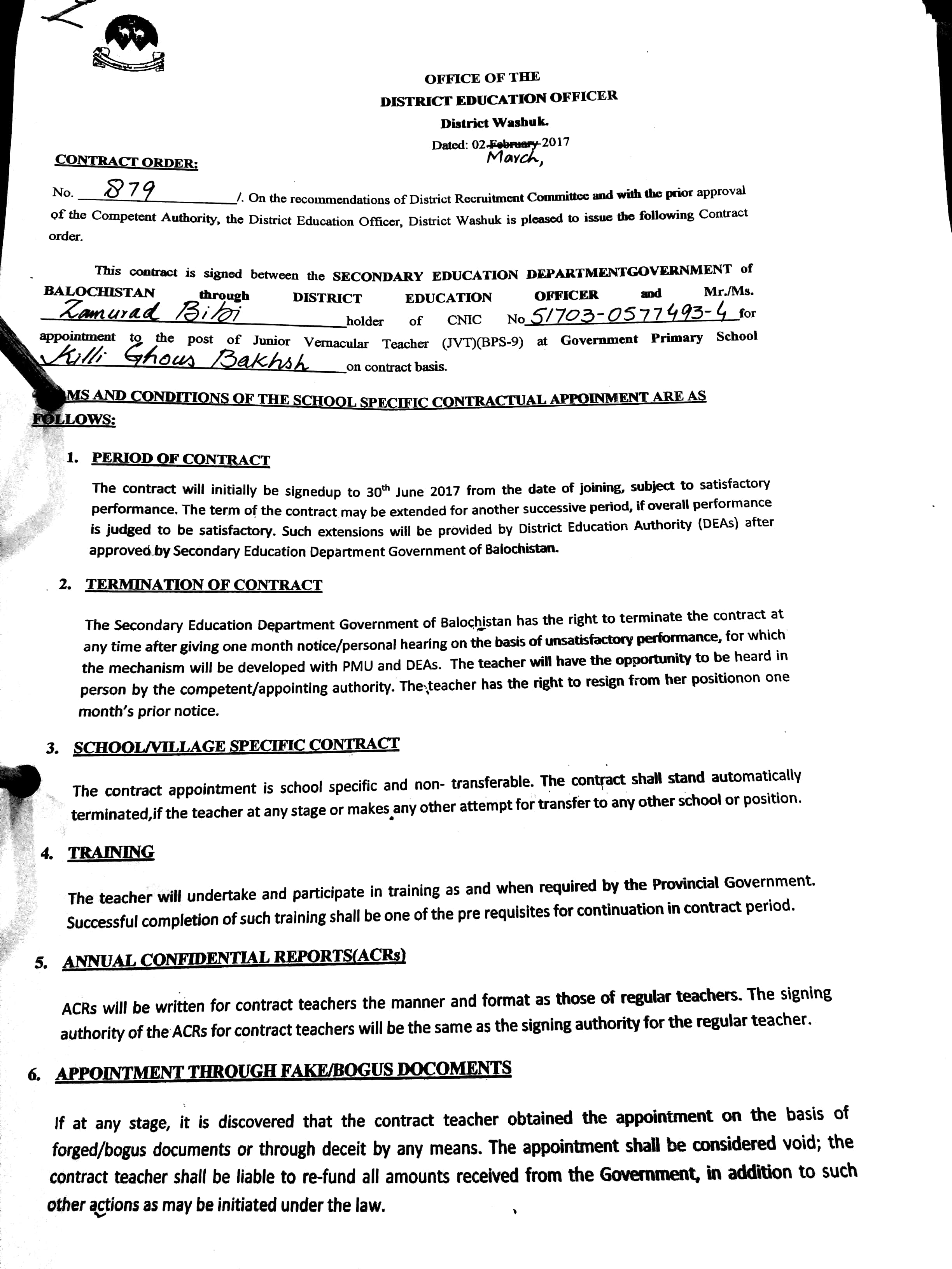
| Teacher's Name | Father's Name | Husband's Name | Post | Academic Qualification | Professional Qualification | Contract Award | Date Of Joining | Trained On PTSMC | Trained On Domain |
|---|---|---|---|---|---|---|---|---|---|
| Bibi Zamrud | Moladad | JVT | Intermediate | Yes | 2017-03-11 | Yes | Yes | ||
| Fareda | mohammad juma | JVT | BSC | CT | Yes | 2017-03-11 | Yes |
| Name | Designation | Contact | Trained |
|---|---|---|---|
| Mir Noorullah | President | 825516191 | Yes |
| Abdul khaliq | v President | 00000000000 | Yes |
| M.Ismail | G,Sec | 00000000000 | Yes |
| mir ahmed | finance | 00000000000 | Yes |
| Bibi Zamrud | member | 00000000000 | Yes |
Notiļ¬cations
Land Mutation
PTSMC Member Notification
Teacher Contract
Construction Works Stage Wise Updates
Stage-1
Stage-2
Stage-3
Stage-4
Stage-5
Handing Over Certificate
GRN Notiļ¬cations
Furniture GRN Notification
Classroom Articles GRN Notification