| Region | District | Tehsil | UC | Abandon | Level | BEMIS | Latitude | Longitude | Budget |
|---|---|---|---|---|---|---|---|---|---|
| 6 | Washuk | Basima | Basima | No | Primary | 18002 | 27.87064 | 65.81251 |
| PTSMC Notified | Land Mutation | PTSMCTrained | School Opening Date | Initial Enrollment | BEMIS Alloted |
|---|---|---|---|---|---|
| Yes | Yes | 5 | 2017-03-11 | 66 | Yes |
| Fitness/Topgraphic Survey | Water Test | Soil Test | D/ND Test | Completion Certificate | Current Stage |
| Yes | Yes | Yes | N/A | Yes | 5 |
| Furniture | Blackboard | TLM Kit | ECE Supply | ECE TLM | Wash Kit | First Aid | Sports Goods | Labortory | ICT Supply |
|---|---|---|---|---|---|---|---|---|---|
| Yes | Yes | Yes | Yes | Yes | Yes | Yes | No | No | No |
| Class Name | Attend Reg Girls | Attend Reg Boys | Attend Reg Total | Head Count Girls | Head Count Boys | HeadcountTotal |
|---|---|---|---|---|---|---|
| Kachi | 19 | 20 | 39 | 16 | 19 | 35 |
| Class 1 | 10 | 2 | 12 | 8 | 2 | 10 |
| Class 2 | 10 | 2 | 12 | 7 | 2 | 9 |
| Class 3 | 6 | 1 | 7 | 5 | 1 | 6 |
| Class 4 | 10 | 2 | 12 | 9 | 1 | 10 |
| Class 5 | 0 | 0 | 0 | 0 | 0 | 0 |
| Total | 55 | 27 | 82 | 45 | 25 | 70 |
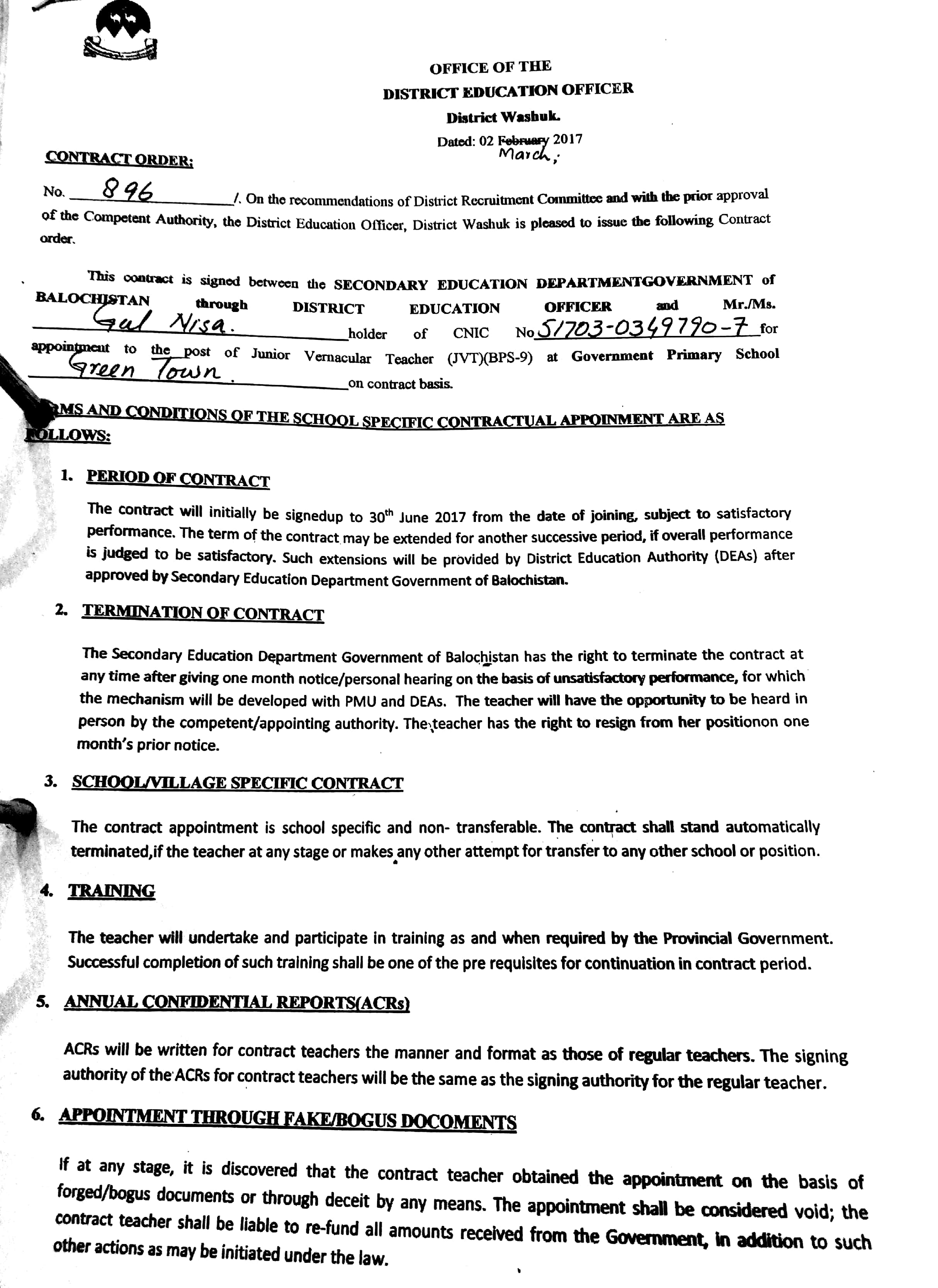
| Teacher's Name | Father's Name | Husband's Name | Post | Academic Qualification | Professional Qualification | Contract Award | Date Of Joining | Trained On PTSMC | Trained On Domain |
|---|---|---|---|---|---|---|---|---|---|
| Gul nisa | Abdul Aziz | JVT | BA | PTC | Yes | 2017-03-17 | Yes | ||
| NAHILA | MOHAMMAD ANWAR | JVT | Yes | 2017-01-08 | Yes |
| Name | Designation | Contact | Trained |
|---|---|---|---|
| Mir Kuda Raheem | President | 847328555 | Yes |
| Peer mohammad | Finance | 00000000000 | Yes |
| zafar iqbal | v President | 00000000000 | Yes |
| sageer | G,Sec | 00000000000 | Yes |
| Asima samad | Member | 00000000000 | Yes |
Notiļ¬cations
Land Mutation
PTSMC Member Notification
Teacher Contract
Construction Works Stage Wise Updates
Stage-1
Stage-2
Stage-3
Stage-4
Stage-5
Handing Over Certificate
GRN Notiļ¬cations
Furniture GRN Notification
Classroom Articles GRN Notification