| Region | District | Tehsil | UC | Abandon | Level | BEMIS | Latitude | Longitude | Budget |
|---|---|---|---|---|---|---|---|---|---|
| 2 | Khuzdar | Khuzdar | Zerina khattan | No | Primary | 17618 | 27.8336 | 66.6206 |
| PTSMC Notified | Land Mutation | PTSMCTrained | School Opening Date | Initial Enrollment | BEMIS Alloted |
|---|---|---|---|---|---|
| Yes | Yes | 5 | 2017-10-02 | 92 | Yes |
| Fitness/Topgraphic Survey | Water Test | Soil Test | D/ND Test | Completion Certificate | Current Stage |
| Yes | Yes | Yes | N/A | Yes | 5 |
| Furniture | Blackboard | TLM Kit | ECE Supply | ECE TLM | Wash Kit | First Aid | Sports Goods | Labortory | ICT Supply |
|---|---|---|---|---|---|---|---|---|---|
| Yes | Yes | Yes | Yes | Yes | Yes | Yes | No | No | No |
| Class Name | Attend Reg Girls | Attend Reg Boys | Attend Reg Total | Head Count Girls | Head Count Boys | HeadcountTotal |
|---|---|---|---|---|---|---|
| Kachi | 58 | 43 | 101 | 34 | 30 | 64 |
| Class 1 | 29 | 19 | 48 | 15 | 7 | 22 |
| Class 2 | 1 | 4 | 5 | 0 | 4 | 4 |
| Class 3 | 3 | 1 | 4 | 1 | 1 | 2 |
| Class 4 | 0 | 0 | 0 | 0 | 0 | 0 |
| Class 5 | 0 | 0 | 0 | 0 | 0 | 0 |
| Total | 91 | 67 | 158 | 50 | 42 | 92 |
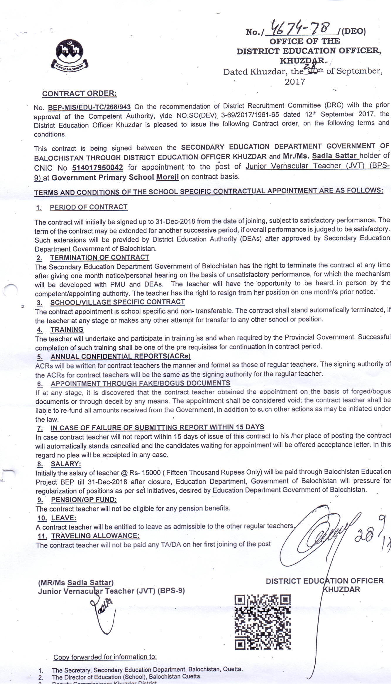
| Teacher's Name | Father's Name | Husband's Name | Post | Academic Qualification | Professional Qualification | Contract Award | Date Of Joining | Trained On PTSMC | Trained On Domain |
|---|---|---|---|---|---|---|---|---|---|
| Saba Abdul Rahouf | Abdul Rahouf | JVT | Graduation | Yes | 2017-10-02 | Yes | Yes |
| Name | Designation | Contact | Trained |
|---|---|---|---|
| Rasool Bakhsh | President | 03337994787 | Yes |
| Saba Rahouf | General Secretary | 03318958968 | Yes |
| Moula Bakhsh | Member | 03327960629 | Yes |
| Taj Mohammad | Member | 03337990963 | Yes |
| Dani Bakhsh | Member | 03337973042 | Yes |
Notiļ¬cations
Land Mutation
PTSMC Member Notification
Teacher Contract
Construction Works Stage Wise Updates
Stage-1
Stage-2
Stage-3
Stage-4
Stage-5
Handing Over Certificate
GRN Notiļ¬cations
Furniture GRN Notification
Classroom Articles GRN Notification