| Region | District | Tehsil | UC | Abandon | Level | BEMIS | Latitude | Longitude | Budget |
|---|---|---|---|---|---|---|---|---|---|
| 6 | Chaghi | Dalbandin | Chilgazai | No | Primary | 17401 | 29.18242 | 64.33213 |
| PTSMC Notified | Land Mutation | PTSMCTrained | School Opening Date | Initial Enrollment | BEMIS Alloted |
|---|---|---|---|---|---|
| Yes | Yes | 5 | 2017-02-28 | 45 | Yes |
| Fitness/Topgraphic Survey | Water Test | Soil Test | D/ND Test | Completion Certificate | Current Stage |
| Yes | Yes | Yes | N/A | Yes | 5 |
| Furniture | Blackboard | TLM Kit | ECE Supply | ECE TLM | Wash Kit | First Aid | Sports Goods | Labortory | ICT Supply |
|---|---|---|---|---|---|---|---|---|---|
| Yes | Yes | Yes | Yes | Yes | Yes | Yes | No | No | No |
| Class Name | Attend Reg Girls | Attend Reg Boys | Attend Reg Total | Head Count Girls | Head Count Boys | HeadcountTotal |
|---|---|---|---|---|---|---|
| Kachi | 6 | 15 | 21 | 5 | 11 | 16 |
| Class 1 | 7 | 7 | 14 | 5 | 4 | 9 |
| Class 2 | 4 | 4 | 8 | 2 | 3 | 5 |
| Class 3 | 0 | 0 | 0 | 0 | 0 | 0 |
| Class 4 | 1 | 1 | 2 | 1 | 1 | 2 |
| Class 5 | 1 | 1 | 2 | 1 | 1 | 2 |
| Total | 19 | 28 | 47 | 14 | 20 | 34 |
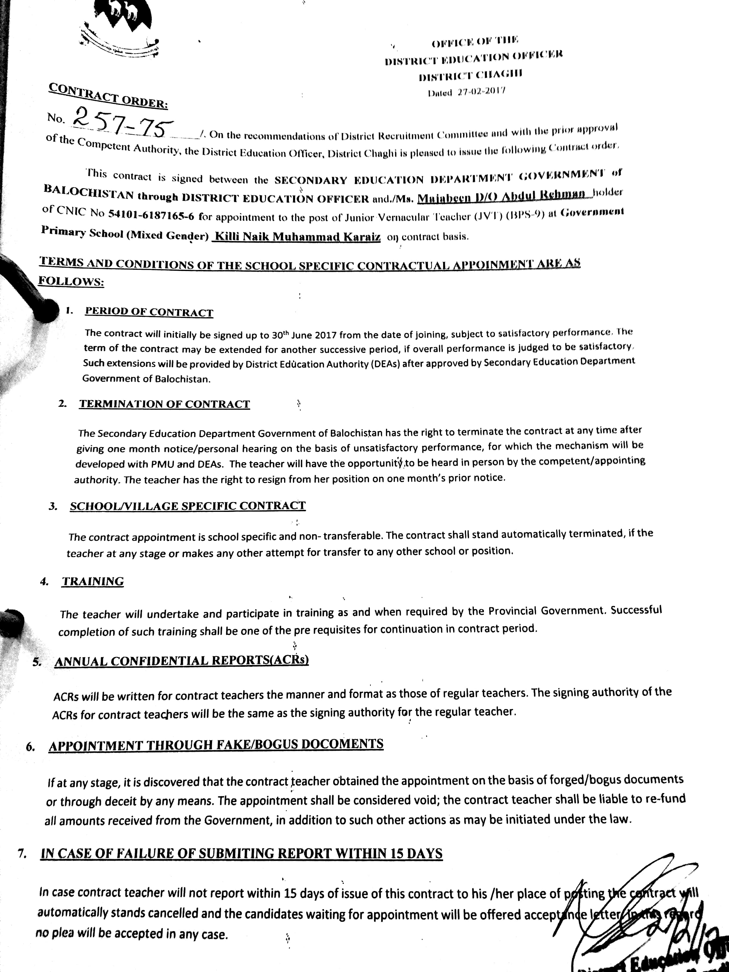
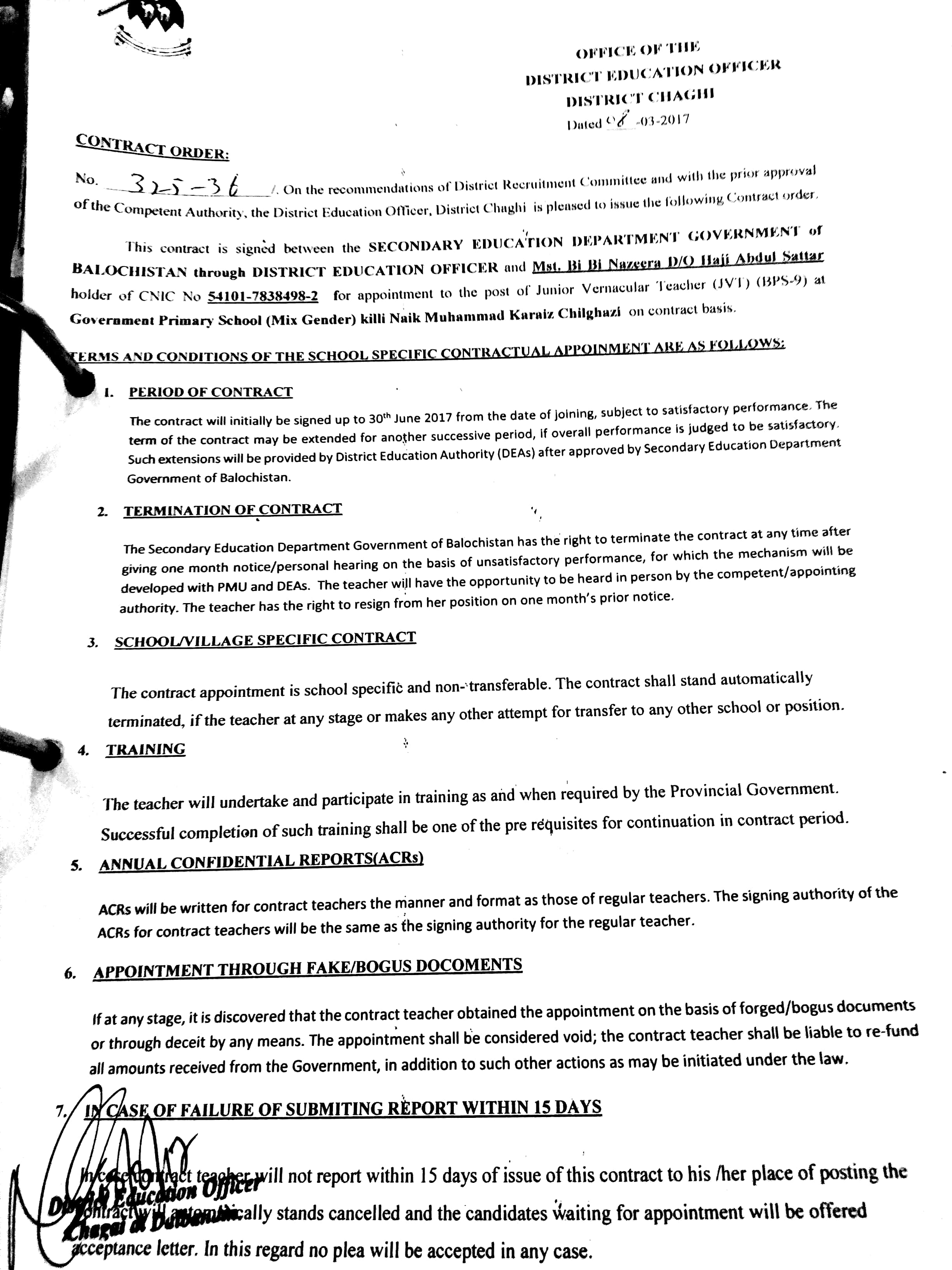
| Teacher's Name | Father's Name | Husband's Name | Post | Academic Qualification | Professional Qualification | Contract Award | Date Of Joining | Trained On PTSMC | Trained On Domain |
|---|---|---|---|---|---|---|---|---|---|
| Mahjaben | Abdul Rehman | JVT | Intermediate | CT | Yes | 2017-02-11 | Yes | Yes | |
| Bibi Nazera | Haji Abdul Sattar | JVT | Intermediate | PTC | Yes | 2017-02-28 | Yes | Yes |
| Name | Designation | Contact | Trained |
|---|---|---|---|
| Aman ullah | V-President | 03317159937 | Yes |
| Mah jabenn | Member | Yes | |
| aman ullah | v President | Yes | |
| juma khan | G,Sec | Yes | |
| Moahmad alim | Finance | Yes |
Notiļ¬cations
Land Mutation
PTSMC Member Notification
Teacher Contract
Construction Works Stage Wise Updates
Stage-1
Stage-2
Stage-3
Stage-4
Stage-5
Handing Over Certificate
GRN Notiļ¬cations
Furniture GRN Notification
Classroom Articles GRN Notification