| Region | District | Tehsil | UC | Abandon | Level | BEMIS | Latitude | Longitude | Budget |
|---|---|---|---|---|---|---|---|---|---|
| 2 | Awaran | Jhaoo | Jahoo | No | Primary | 17365 | 26.4167 | 65.6450 |
| PTSMC Notified | Land Mutation | PTSMCTrained | School Opening Date | Initial Enrollment | BEMIS Alloted |
|---|---|---|---|---|---|
| Yes | Yes | 5 | 2017-09-14 | 55 | Yes |
| Fitness/Topgraphic Survey | Water Test | Soil Test | D/ND Test | Completion Certificate | Current Stage |
| Yes | Yes | Yes | N/A | Yes | 5 |
| Furniture | Blackboard | TLM Kit | ECE Supply | ECE TLM | Wash Kit | First Aid | Sports Goods | Labortory | ICT Supply |
|---|---|---|---|---|---|---|---|---|---|
| Yes | Yes | Yes | Yes | Yes | Yes | Yes | No | No | No |
| Class Name | Attend Reg Girls | Attend Reg Boys | Attend Reg Total | Head Count Girls | Head Count Boys | HeadcountTotal |
|---|---|---|---|---|---|---|
| Kachi | 10 | 10 | 20 | 10 | 8 | 18 |
| Class 1 | 3 | 7 | 10 | 3 | 6 | 9 |
| Class 2 | 9 | 6 | 15 | 7 | 6 | 13 |
| Class 3 | 7 | 3 | 10 | 6 | 3 | 9 |
| Class 4 | 10 | 5 | 15 | 6 | 4 | 10 |
| Class 5 | 3 | 2 | 5 | 3 | 2 | 5 |
| Total | 42 | 33 | 75 | 35 | 29 | 64 |
| Teacher's Name | Father's Name | Husband's Name | Post | Academic Qualification | Professional Qualification | Contract Award | Date Of Joining | Trained On PTSMC | Trained On Domain |
|---|---|---|---|---|---|---|---|---|---|
| Rukhsana Bibi | Abdul Samad | JVT | BA | CT | Yes | 2017-09-13 | Yes | Yes | |
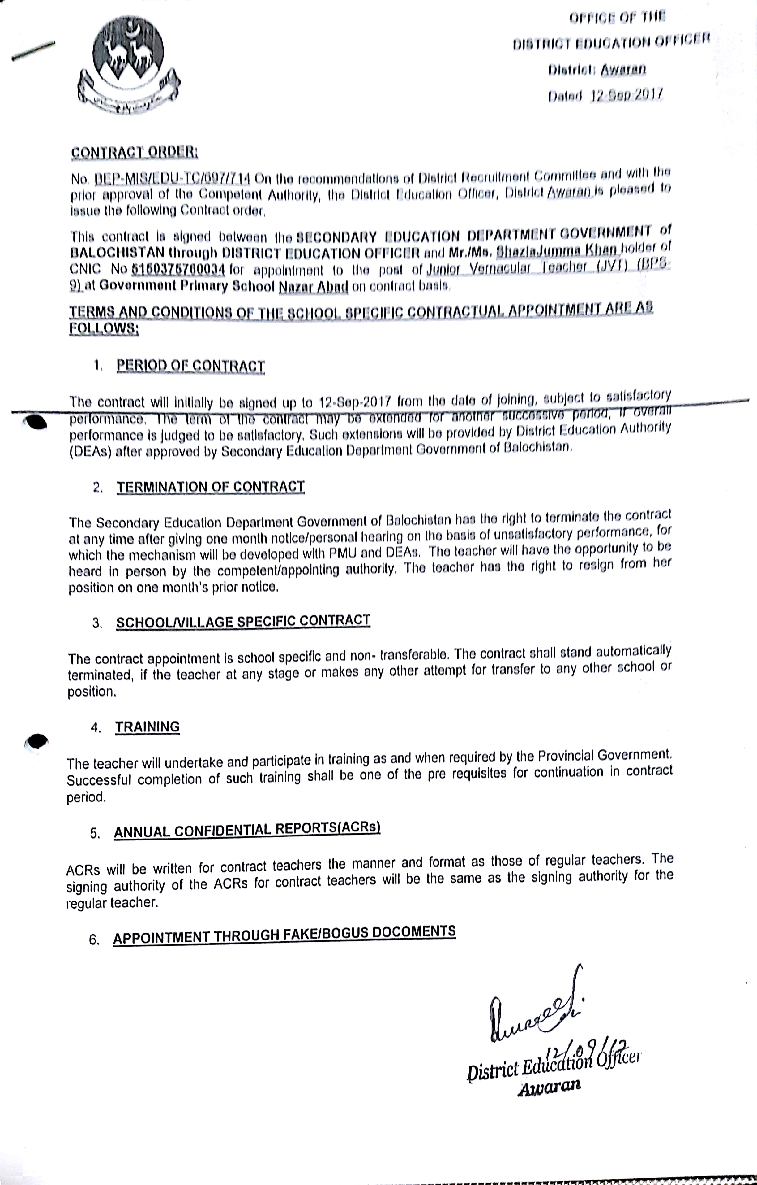
| Shazia Jumma Khan | Juma Khan | JVT | Graduation | CT | Yes | 2017-09-13 | Yes |
| Name | Designation | Contact | Trained |
|---|---|---|---|
| Abdul Qadir | President | Yes | |
| Mohammad Arif | Member | Yes | |
| Rukhsana | General Secretary | Yes | |
| Allah Bakhsh | Member | Yes | |
| naheem Ahmad | Member | Yes |
Notiļ¬cations
Land Mutation
PTSMC Member Notification
Teacher Contract
Construction Works Stage Wise Updates
Stage-1
Stage-2
Stage-3
Stage-4
Stage-5
Handing Over Certificate
GRN Notiļ¬cations
Furniture GRN Notification
Classroom Articles GRN Notification