| Region | District | Tehsil | UC | Abandon | Level | BEMIS | Latitude | Longitude | Budget |
|---|---|---|---|---|---|---|---|---|---|
| 1 | Pishin | Pishin | Dab khanzai | No | Primary | 17892 | 30.7319 | 67.1047 |
| PTSMC Notified | Land Mutation | PTSMCTrained | School Opening Date | Initial Enrollment | BEMIS Alloted |
|---|---|---|---|---|---|
| Yes | Yes | 5 | 2016-10-27 | 50 | Yes |
| Fitness/Topgraphic Survey | Water Test | Soil Test | D/ND Test | Completion Certificate | Current Stage |
| Yes | Yes | Yes | N/A | Yes | 5 |
| Furniture | Blackboard | TLM Kit | ECE Supply | ECE TLM | Wash Kit | First Aid | Sports Goods | Labortory | ICT Supply |
|---|---|---|---|---|---|---|---|---|---|
| Yes | Yes | Yes | Yes | Yes | Yes | Yes | No | No | No |
| Class Name | Attend Reg Girls | Attend Reg Boys | Attend Reg Total | Head Count Girls | Head Count Boys | HeadcountTotal |
|---|---|---|---|---|---|---|
| Kachi | 11 | 9 | 20 | 8 | 6 | 14 |
| Class 1 | 4 | 7 | 11 | 4 | 5 | 9 |
| Class 2 | 1 | 5 | 6 | 1 | 5 | 6 |
| Class 3 | 0 | 0 | 0 | 0 | 0 | 0 |
| Class 4 | 0 | 2 | 2 | 0 | 2 | 2 |
| Class 5 | 0 | 0 | 0 | 0 | 0 | 0 |
| Total | 16 | 23 | 39 | 13 | 18 | 31 |
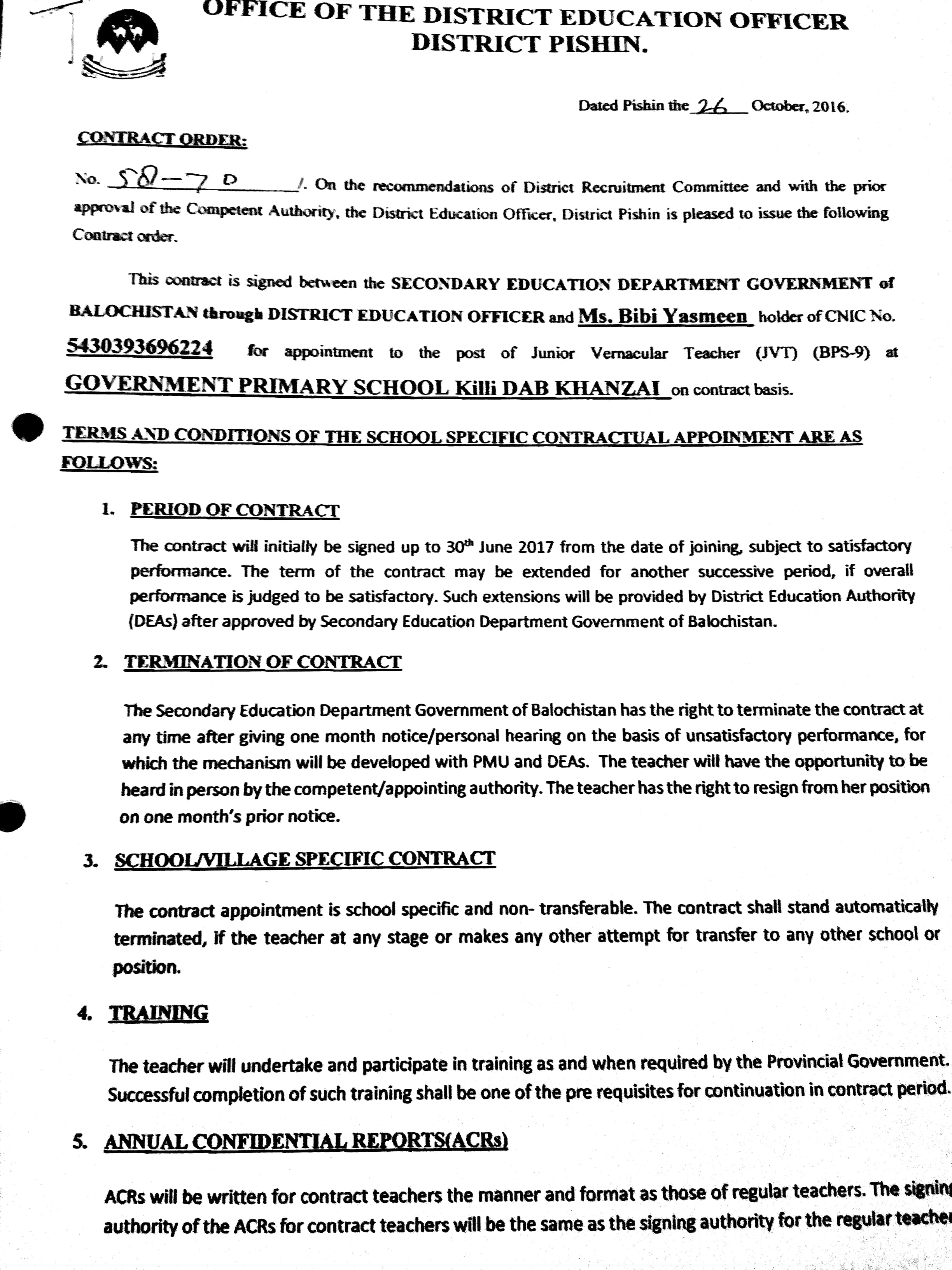
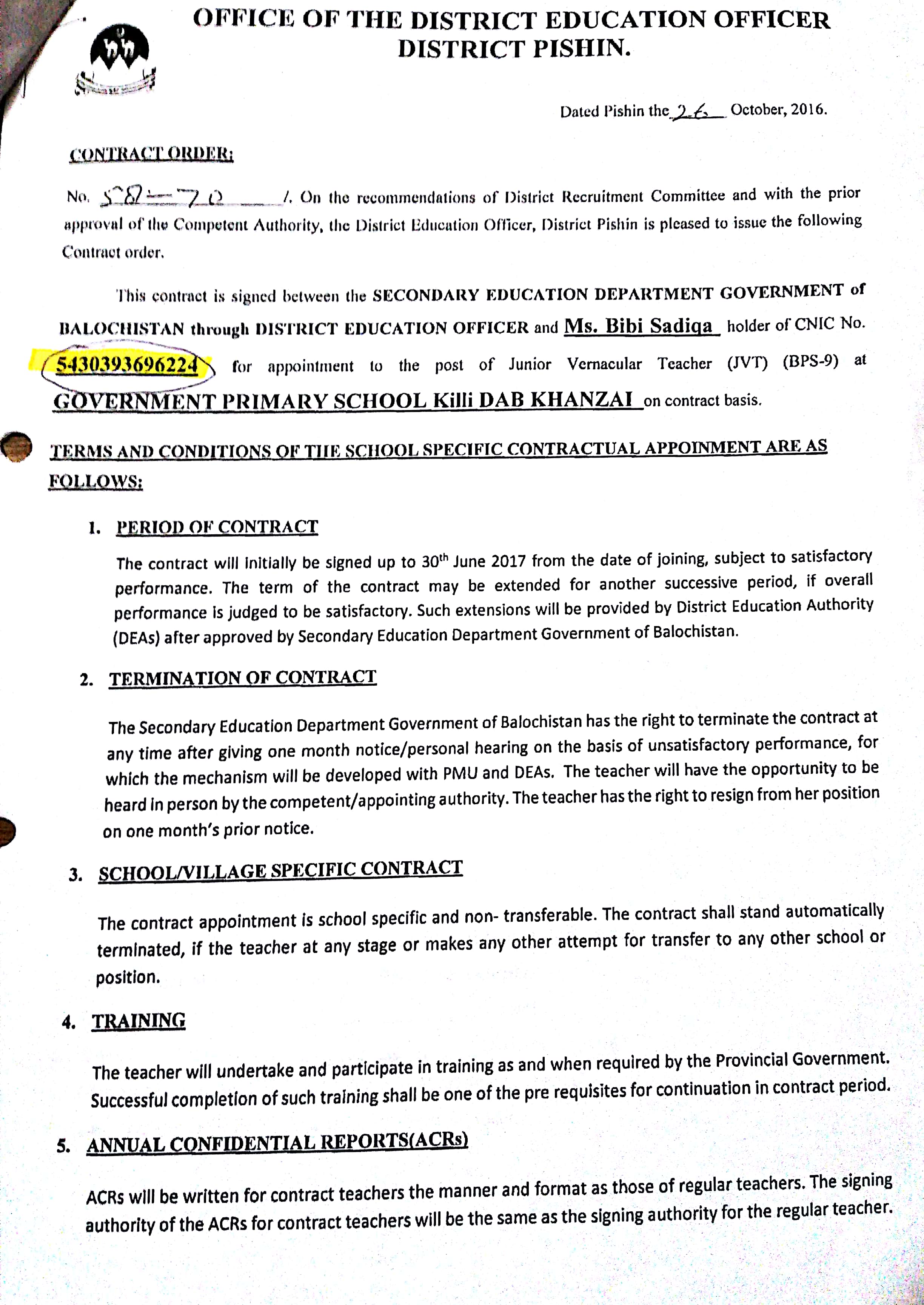
| Teacher's Name | Father's Name | Husband's Name | Post | Academic Qualification | Professional Qualification | Contract Award | Date Of Joining | Trained On PTSMC | Trained On Domain |
|---|---|---|---|---|---|---|---|---|---|
| Yasmin | Roz Ud Din | JVT | FA | PTC | Yes | 2016-10-27 | Yes | Yes | |
| Bibi Sadiqa | Roz Ud Din | JVT | FA | Yes | 2016-10-27 | Yes | Yes |
| Name | Designation | Contact | Trained |
|---|---|---|---|
| Amanullah | Vice president | 3063869993 | Yes |
| Asmat ullah | treasurer | 3458158563 | Yes |
| Haji abdullah | President | 3168272464 | Yes |
| Haji wali jan | General secretary | 3138797435 | Yes |
| yasmeen | teacher | 3025296186 | Yes |
Notiļ¬cations
Land Mutation
PTSMC Member Notification
Teacher Contract
Construction Works Stage Wise Updates
Stage-1
Stage-2
Stage-3
Stage-4
Stage-5
Handing Over Certificate
GRN Notiļ¬cations
Furniture GRN Notification
Classroom Articles GRN Notification