| Region | District | Tehsil | UC | Abandon | Level | BEMIS | Latitude | Longitude | Budget |
|---|---|---|---|---|---|---|---|---|---|
| 1 | Pishin | Pishin | Batezai | No | Primary | 17884 | 30.650252 | 66.868182 |
| PTSMC Notified | Land Mutation | PTSMCTrained | School Opening Date | Initial Enrollment | BEMIS Alloted |
|---|---|---|---|---|---|
| Yes | Yes | 5 | 2016-10-27 | 52 | Yes |
| Fitness/Topgraphic Survey | Water Test | Soil Test | D/ND Test | Completion Certificate | Current Stage |
| Yes | Yes | Yes | N/A | Yes | 5 |
| Furniture | Blackboard | TLM Kit | ECE Supply | ECE TLM | Wash Kit | First Aid | Sports Goods | Labortory | ICT Supply |
|---|---|---|---|---|---|---|---|---|---|
| Yes | Yes | Yes | Yes | Yes | Yes | Yes | No | No | No |
| Class Name | Attend Reg Girls | Attend Reg Boys | Attend Reg Total | Head Count Girls | Head Count Boys | HeadcountTotal |
|---|---|---|---|---|---|---|
| Kachi | 8 | 15 | 23 | 3 | 4 | 7 |
| Class 1 | 4 | 4 | 8 | 3 | 0 | 3 |
| Class 2 | 0 | 0 | 0 | 0 | 0 | 0 |
| Class 3 | 0 | 0 | 0 | 0 | 0 | 0 |
| Class 4 | 0 | 0 | 0 | 0 | 0 | 0 |
| Class 5 | 0 | 0 | 0 | 0 | 0 | 0 |
| Total | 12 | 19 | 31 | 6 | 4 | 10 |
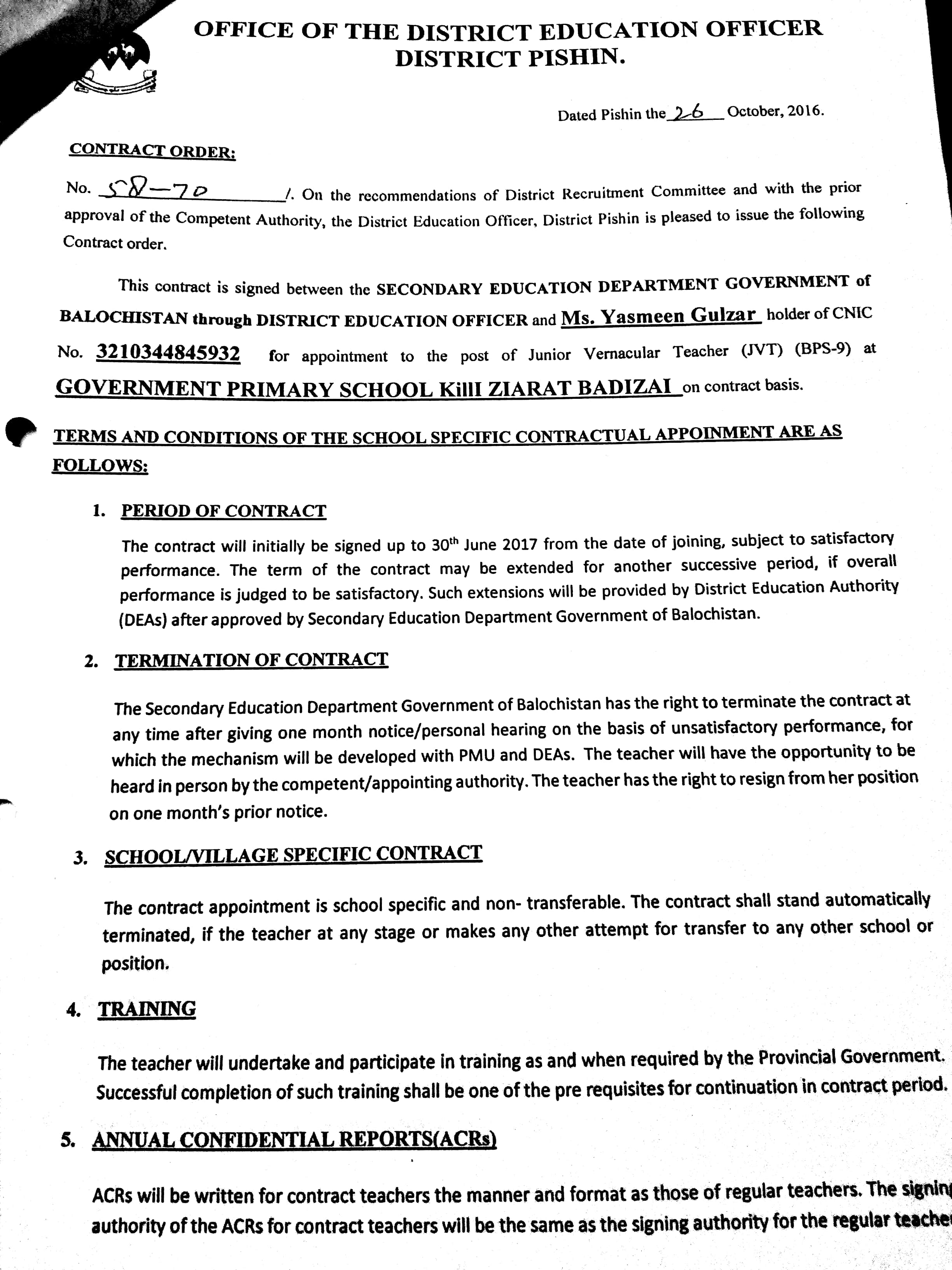
| Teacher's Name | Father's Name | Husband's Name | Post | Academic Qualification | Professional Qualification | Contract Award | Date Of Joining | Trained On PTSMC | Trained On Domain |
|---|---|---|---|---|---|---|---|---|---|
| Asia Ramazan | Muhammad Ramazan | JVT | MA | B-ED | Yes | 2016-10-27 | Yes | Yes | |
| Yasmeen Gulzar | Muhammad Gulzar | JVT | FA | CT | Yes | 2016-10-27 | Yes | Yes |
| Name | Designation | Contact | Trained |
|---|---|---|---|
| Abdul Manaf | President | 3003896226 | Yes |
| Abdullah | Treasure | 3135541245 | Yes |
| Nazar Muhammad | Vice President | 3012906903 | Yes |
| Shoukat Ali | General Secretary | 3168164277 | Yes |
| Yasmeen Gulzar | Member | 3468051604 | Yes |
Notiļ¬cations
Land Mutation
PTSMC Member Notification
Teacher Contract
Construction Works Stage Wise Updates
Stage-1
Stage-2
Stage-3
Stage-4
Stage-5
Handing Over Certificate
GRN Notiļ¬cations
Furniture GRN Notification
Classroom Articles GRN Notification