| Region | District | Tehsil | UC | Abandon | Level | BEMIS | Latitude | Longitude | Budget |
|---|---|---|---|---|---|---|---|---|---|
| 7 | Kech | Dasht | Sangai | No | Primary | 17570 | 25.801480 | 62.675835 |
| PTSMC Notified | Land Mutation | PTSMCTrained | School Opening Date | Initial Enrollment | BEMIS Alloted |
|---|---|---|---|---|---|
| Yes | Yes | 5 | 2018-05-14 | 45 | Yes |
| Fitness/Topgraphic Survey | Water Test | Soil Test | D/ND Test | Completion Certificate | Current Stage |
| Yes | N/A | No | N/A | Yes | 5 |
| Furniture | Blackboard | TLM Kit | ECE Supply | ECE TLM | Wash Kit | First Aid | Sports Goods | Labortory | ICT Supply |
|---|---|---|---|---|---|---|---|---|---|
| Yes | Yes | Yes | Yes | Yes | Yes | Yes | No | No | No |
| Class Name | Attend Reg Girls | Attend Reg Boys | Attend Reg Total | Head Count Girls | Head Count Boys | HeadcountTotal |
|---|---|---|---|---|---|---|
| Kachi | 11 | 14 | 25 | 10 | 12 | 22 |
| Class 1 | 5 | 4 | 9 | 5 | 4 | 9 |
| Class 2 | 7 | 0 | 7 | 7 | 0 | 7 |
| Class 3 | 4 | 1 | 5 | 4 | 1 | 5 |
| Class 4 | 1 | 0 | 1 | 1 | 0 | 1 |
| Class 5 | 0 | 0 | 0 | 0 | 0 | 0 |
| Total | 28 | 19 | 47 | 27 | 17 | 44 |
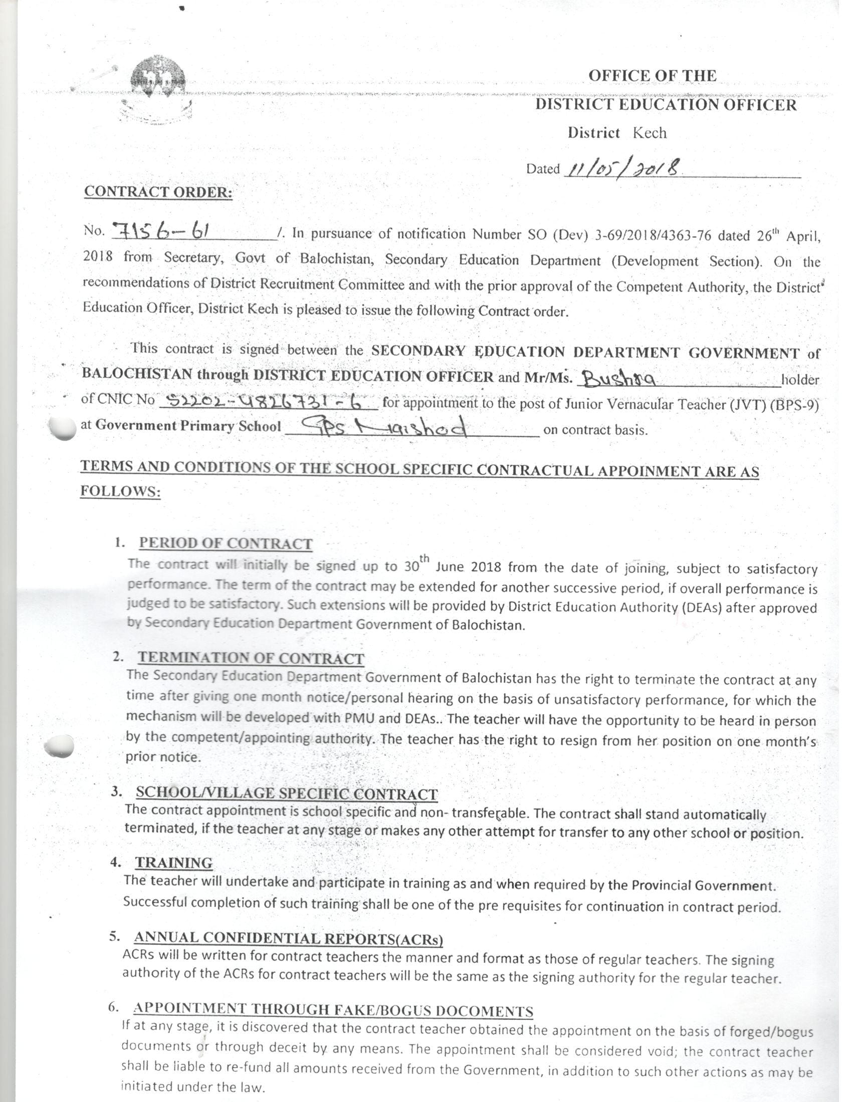
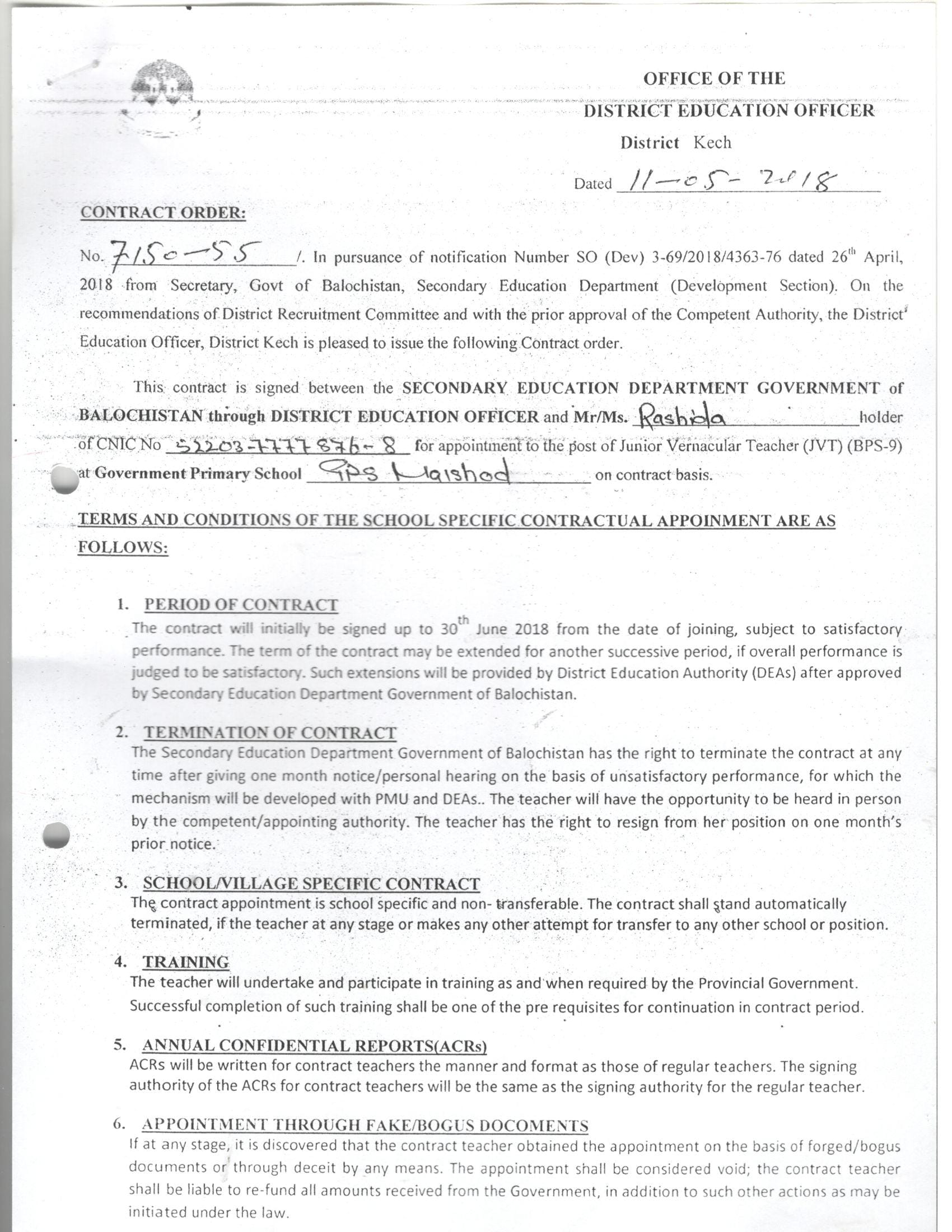
| Teacher's Name | Father's Name | Husband's Name | Post | Academic Qualification | Professional Qualification | Contract Award | Date Of Joining | Trained On PTSMC | Trained On Domain |
|---|---|---|---|---|---|---|---|---|---|
| Rashida | Karim Bakhsh | JVT | BSC | Yes | 2018-05-12 | Yes | Yes | ||
| Bushra | Adam | JVT | FA | PTC | Yes | 2018-05-12 | Yes | Yes |
| Name | Designation | Contact | Trained |
|---|---|---|---|
| Ajaz | Chairman | 03162015451 | Yes |
| Shokat Ali | Member | 03162015451 | Yes |
| Ghulam Mohammad | Member | 03162015451 | Yes |
| Rashida | General Secretary | 03213003826 | Yes |
| Bushra | Member | 03162478882 | Yes |
Notiļ¬cations
Land Mutation
PTSMC Member Notification
Teacher Contract
Construction Works Stage Wise Updates
Stage-1
Stage-2
Stage-3
Stage-4
Stage-5
Handing Over Certificate
GRN Notiļ¬cations
Furniture GRN Notification
Classroom Articles GRN Notification