| Region | District | Tehsil | UC | Abandon | Level | BEMIS | Latitude | Longitude | Budget |
|---|---|---|---|---|---|---|---|---|---|
| 5 | Sohbat pur | Manjhi pur | Janpur | No | Primary | 17980 | 28.4608 | 68.65714 |
| PTSMC Notified | Land Mutation | PTSMCTrained | School Opening Date | Initial Enrollment | BEMIS Alloted |
|---|---|---|---|---|---|
| Yes | Yes | 5 | 2017-09-25 | Yes | |
| Fitness/Topgraphic Survey | Water Test | Soil Test | D/ND Test | Completion Certificate | Current Stage |
| Yes | Yes | Yes | N/A | Yes | 5 |
| Furniture | Blackboard | TLM Kit | ECE Supply | ECE TLM | Wash Kit | First Aid | Sports Goods | Labortory | ICT Supply |
|---|---|---|---|---|---|---|---|---|---|
| Yes | Yes | Yes | Yes | Yes | Yes | Yes | No | No | No |
| Class Name | Attend Reg Girls | Attend Reg Boys | Attend Reg Total | Head Count Girls | Head Count Boys | HeadcountTotal |
|---|---|---|---|---|---|---|
| Kachi | 37 | 30 | 67 | 30 | 25 | 55 |
| Class 1 | 3 | 12 | 15 | 3 | 10 | 13 |
| Class 2 | 0 | 4 | 4 | 0 | 4 | 4 |
| Class 3 | 0 | 5 | 5 | 0 | 4 | 4 |
| Class 4 | 0 | 3 | 3 | 0 | 3 | 3 |
| Class 5 | 0 | 0 | 0 | 0 | 0 | 0 |
| Total | 40 | 54 | 94 | 33 | 46 | 79 |
| Teacher's Name | Father's Name | Husband's Name | Post | Academic Qualification | Professional Qualification | Contract Award | Date Of Joining | Trained On PTSMC | Trained On Domain |
|---|---|---|---|---|---|---|---|---|---|
| MUMTAZ KHATOON | GHULAM NABI | JVT | Yes | Yes | |||||
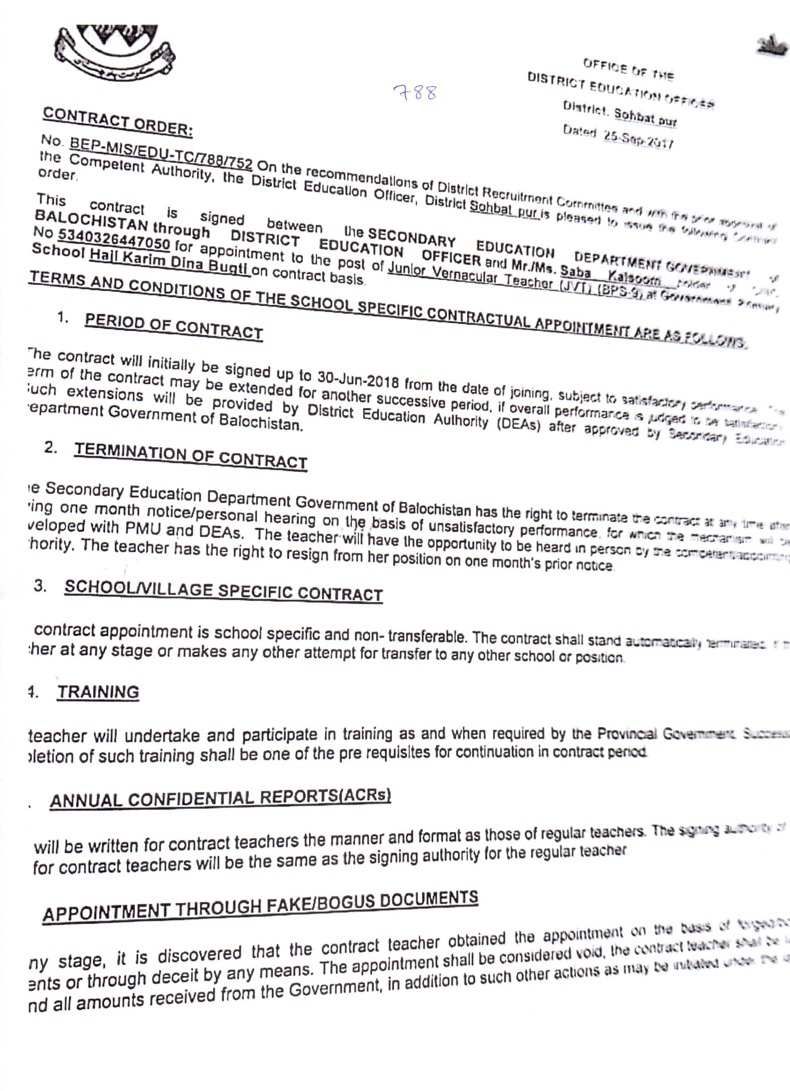
| Saba Kalsoom | Fateh Mohammad | JVT | Yes | Yes |
| Name | Designation | Contact | Trained |
|---|---|---|---|
| Zar Khan | President | 03410135117 | Yes |
| Mohammad Hussain | Vice President | 03410278846 | Yes |
| Abdul Rehman | Finance Secretary | 03403681909 | Yes |
| Mehrab | Member | 03470990178 | Yes |
| Mumtaz Khatoon | Member | Yes |
Notiļ¬cations
Land Mutation
PTSMC Member Notification
Teacher Contract
Construction Works Stage Wise Updates
Stage-1
Stage-2
Stage-3
Stage-4
Stage-5
Handing Over Certificate
GRN Notiļ¬cations
Furniture GRN Notification
Classroom Articles GRN Notification