| Region | District | Tehsil | UC | Abandon | Level | BEMIS | Latitude | Longitude | Budget |
|---|---|---|---|---|---|---|---|---|---|
| 7 | Kech | Dasht | Balnegore | No | Primary | 17572 | 25.841012 | 62.240217 |
| PTSMC Notified | Land Mutation | PTSMCTrained | School Opening Date | Initial Enrollment | BEMIS Alloted |
|---|---|---|---|---|---|
| Yes | Yes | 5 | 2018-05-15 | 28 | Yes |
| Fitness/Topgraphic Survey | Water Test | Soil Test | D/ND Test | Completion Certificate | Current Stage |
| Yes | N/A | No | N/A | Yes | 5 |
| Furniture | Blackboard | TLM Kit | ECE Supply | ECE TLM | Wash Kit | First Aid | Sports Goods | Labortory | ICT Supply |
|---|---|---|---|---|---|---|---|---|---|
| Yes | Yes | Yes | Yes | Yes | Yes | Yes | No | No | No |
| Class Name | Attend Reg Girls | Attend Reg Boys | Attend Reg Total | Head Count Girls | Head Count Boys | HeadcountTotal |
|---|---|---|---|---|---|---|
| Kachi | 23 | 11 | 34 | 21 | 11 | 32 |
| Class 1 | 11 | 3 | 14 | 11 | 3 | 14 |
| Class 2 | 10 | 4 | 14 | 10 | 4 | 14 |
| Class 3 | 2 | 3 | 5 | 2 | 2 | 4 |
| Class 4 | 1 | 2 | 3 | 1 | 2 | 3 |
| Class 5 | 0 | 0 | 0 | 0 | 0 | 0 |
| Total | 47 | 23 | 70 | 45 | 22 | 67 |
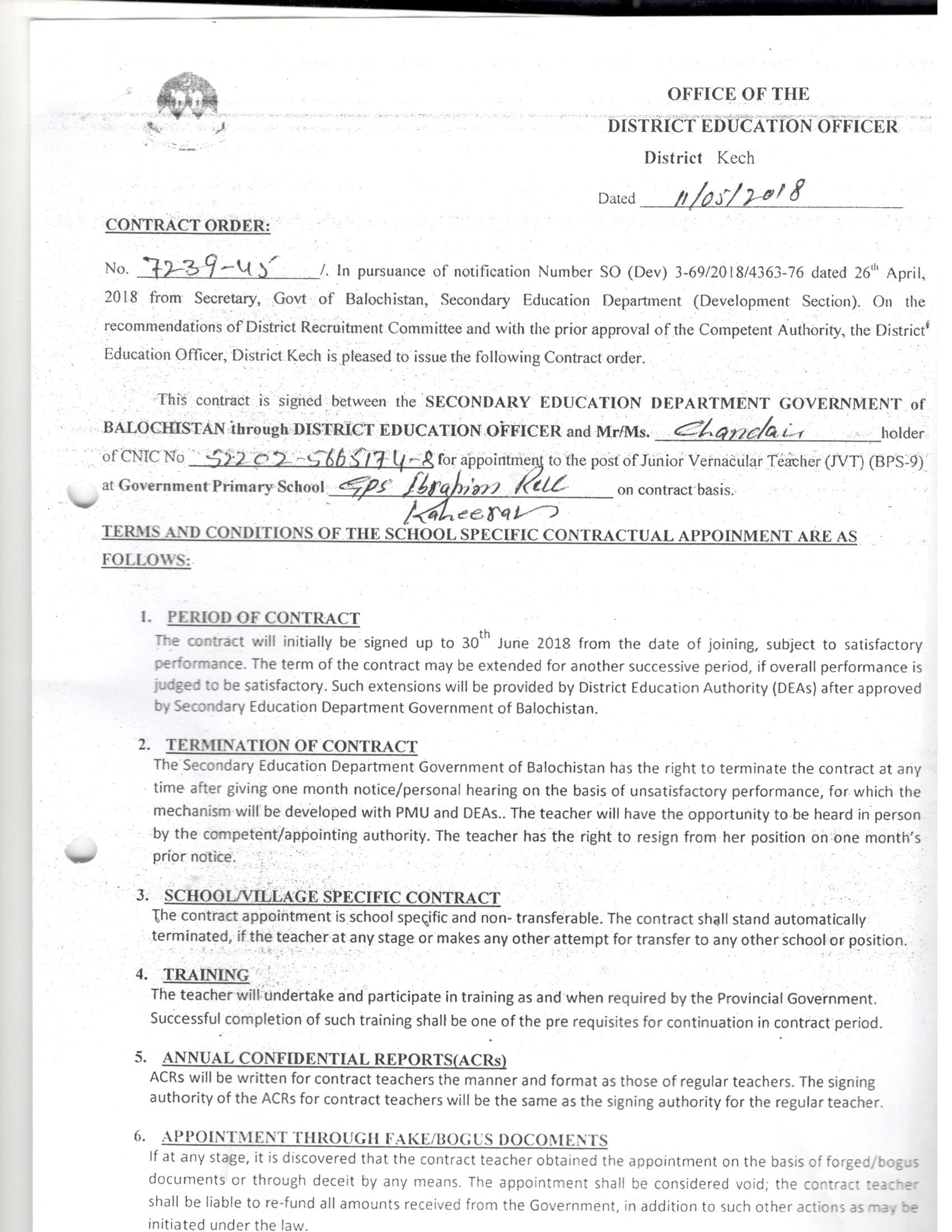
| Teacher's Name | Father's Name | Husband's Name | Post | Academic Qualification | Professional Qualification | Contract Award | Date Of Joining | Trained On PTSMC | Trained On Domain |
|---|---|---|---|---|---|---|---|---|---|
| SABIRA | BARKAT | JVT | BA | PTC | Yes | 2018-05-12 | Yes | Yes | |
| CHANDAN | ASLAM | JVT | BA | ADE | Yes | 2018-05-12 | Yes | Yes |
| Name | Designation | Contact | Trained |
|---|---|---|---|
| Mohmmad Saleem | Chairman | 03130027440 | Yes |
| Khan Mohmmad | Member | 03128628608 | Yes |
| Abdul Hafeez | Member | 03128628608 | Yes |
| Sabira | General Secretary | 03172903087 | Yes |
| Chandan | Member | Yes |
Notiļ¬cations
Land Mutation
PTSMC Member Notification
Teacher Contract
Construction Works Stage Wise Updates
Stage-1
Stage-2
Stage-3
Stage-4
Stage-5
Handing Over Certificate
GRN Notiļ¬cations
Furniture GRN Notification
Classroom Articles GRN Notification