| Region | District | Tehsil | UC | Abandon | Level | BEMIS | Latitude | Longitude | Budget |
|---|---|---|---|---|---|---|---|---|---|
| 1 | Pishin | Pishin | Batezai | No | Primary | 17883 | 30.6386 | 67.2559 |
| PTSMC Notified | Land Mutation | PTSMCTrained | School Opening Date | Initial Enrollment | BEMIS Alloted |
|---|---|---|---|---|---|
| Yes | Yes | 4 | 2016-10-27 | 69 | Yes |
| Fitness/Topgraphic Survey | Water Test | Soil Test | D/ND Test | Completion Certificate | Current Stage |
| Yes | Yes | Yes | N/A | Yes | 5 |
| Furniture | Blackboard | TLM Kit | ECE Supply | ECE TLM | Wash Kit | First Aid | Sports Goods | Labortory | ICT Supply |
|---|---|---|---|---|---|---|---|---|---|
| Yes | Yes | Yes | Yes | Yes | Yes | Yes | No | No | No |
| Class Name | Attend Reg Girls | Attend Reg Boys | Attend Reg Total | Head Count Girls | Head Count Boys | HeadcountTotal |
|---|---|---|---|---|---|---|
| Kachi | 14 | 16 | 30 | 8 | 6 | 14 |
| Class 1 | 5 | 3 | 8 | 5 | 0 | 5 |
| Class 2 | 5 | 1 | 6 | 4 | 0 | 4 |
| Class 3 | 5 | 1 | 6 | 4 | 0 | 4 |
| Class 4 | 0 | 0 | 0 | 0 | 0 | 0 |
| Class 5 | 0 | 0 | 0 | 0 | 0 | 0 |
| Total | 29 | 21 | 50 | 21 | 6 | 27 |
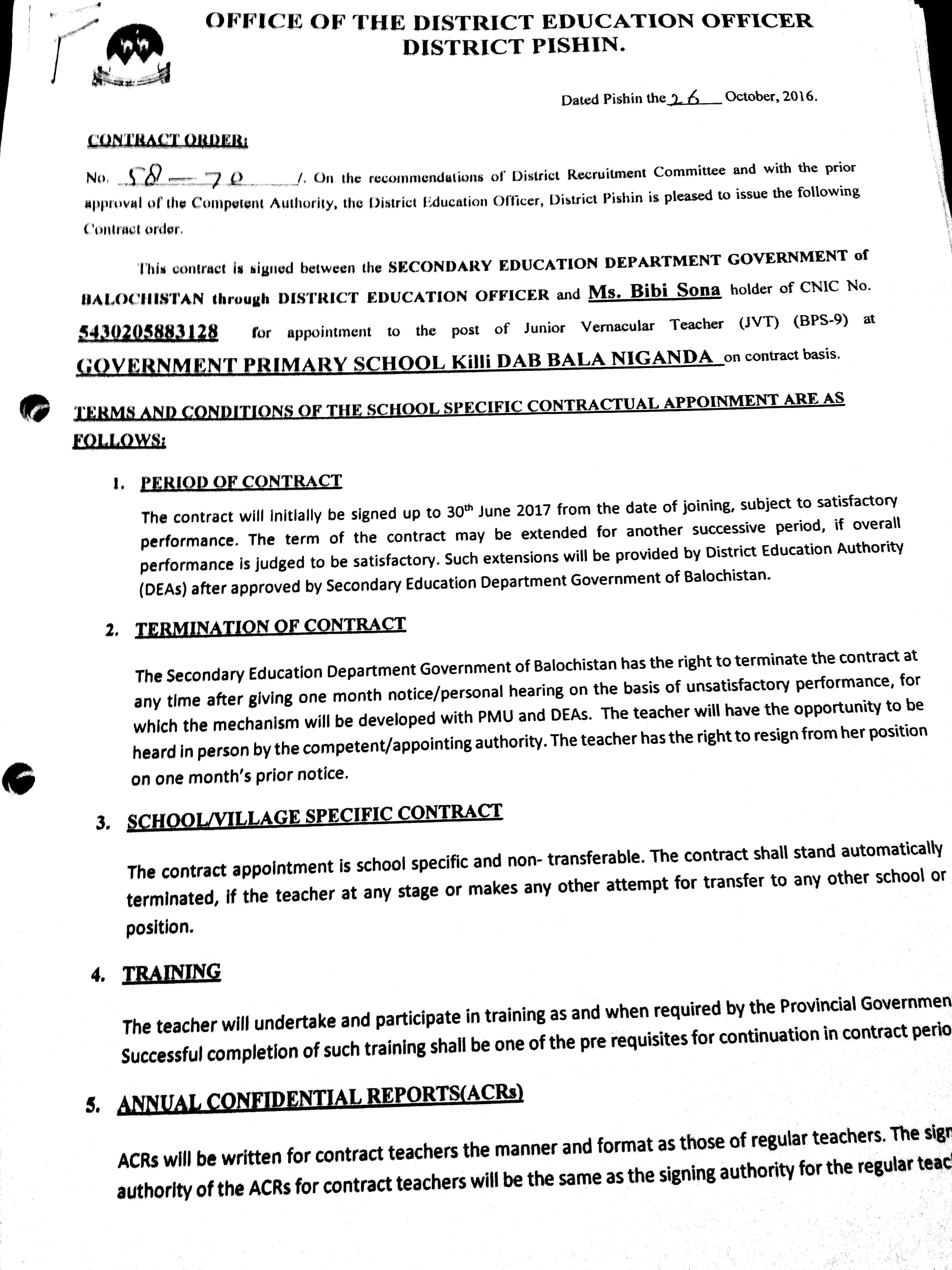
| Teacher's Name | Father's Name | Husband's Name | Post | Academic Qualification | Professional Qualification | Contract Award | Date Of Joining | Trained On PTSMC | Trained On Domain |
|---|---|---|---|---|---|---|---|---|---|
| MUNAWARA | MUHAMMAD TAHIR | JVT | Yes | 2016-10-27 | Yes | Yes | |||
| SONA | ABDUL QAHIR | JVT | Yes | 2016-10-27 | Yes | Yes |
| Name | Designation | Contact | Trained |
|---|---|---|---|
| Abdul Nasir | President | 03158092784 | Yes |
| Noor Ali | V.President | 03118039668 | Yes |
| ALi Muhammad | G.Secretry | 03072164219 | Yes |
| Muhammad Abbas | Finance Secretary | 03111841740 | |
| Sona Bibi | Member | 03178168415 | Yes |
Notiļ¬cations
Land Mutation
PTSMC Member Notification
Teacher Contract
Construction Works Stage Wise Updates
Stage-1
Stage-2
Stage-3
Stage-4
Stage-5
Handing Over Certificate
GRN Notiļ¬cations
Furniture GRN Notification
Classroom Articles GRN Notification