| Region | District | Tehsil | UC | Abandon | Level | BEMIS | Latitude | Longitude | Budget |
|---|---|---|---|---|---|---|---|---|---|
| 3 | Zhob | Zhob | Appozai | No | High | 4587 | 31.335061 | 69.431348 |
| PTSMC Notified | Land Mutation | PTSMCTrained | School Opening Date | Initial Enrollment | BEMIS Alloted |
|---|---|---|---|---|---|
| Yes | Yes | 7 | 2018-04-05 | 91 | Yes |
| Fitness/Topgraphic Survey | Water Test | Soil Test | D/ND Test | Completion Certificate | Current Stage |
| Yes | N/A | N/A | N/A | Yes | 5 |
| Furniture | Blackboard | TLM Kit | ECE Supply | ECE TLM | Wash Kit | First Aid | Sports Goods | Labortory | ICT Supply |
|---|---|---|---|---|---|---|---|---|---|
| Yes | Yes | Yes | Yes | Yes | Yes | Yes | Yes | Yes | Yes |
| Class Name | Attend Reg Girls | Attend Reg Boys | Attend Reg Total | Head Count Girls | Head Count Boys | HeadcountTotal |
|---|---|---|---|---|---|---|
| Kachi | 45 | 0 | 45 | 22 | 0 | 22 |
| Class 1 | 9 | 0 | 9 | 7 | 0 | 7 |
| Class 2 | 10 | 0 | 10 | 9 | 0 | 9 |
| Class 3 | 11 | 0 | 11 | 11 | 0 | 11 |
| Class 4 | 9 | 0 | 9 | 9 | 0 | 9 |
| Class 5 | 5 | 0 | 5 | 4 | 0 | 4 |
| Class 6 | 3 | 0 | 3 | 3 | 0 | 3 |
| Class 7 | 2 | 0 | 2 | 2 | 0 | 2 |
| Class 8 | 0 | 0 | 0 | 0 | 0 | 0 |
| Class 9 | 0 | 0 | 0 | 0 | 0 | 0 |
| Class 10 | 0 | 0 | 0 | 0 | 0 | 0 |
| Total | 94 | 0 | 94 | 67 | 0 | 67 |
| Teacher's Name | Father's Name | Husband's Name | Post | Academic Qualification | Professional Qualification | Contract Award | Date Of Joining | Trained On PTSMC | Trained On Domain |
|---|---|---|---|---|---|---|---|---|---|
| Spozmai Nazar Jan | Nazar Jan | EST | BA | Yes | Yes | Yes | |||
| Zohra Ramzan | Muhammad Ramzan | EST | BA | Yes | Yes | Yes | |||
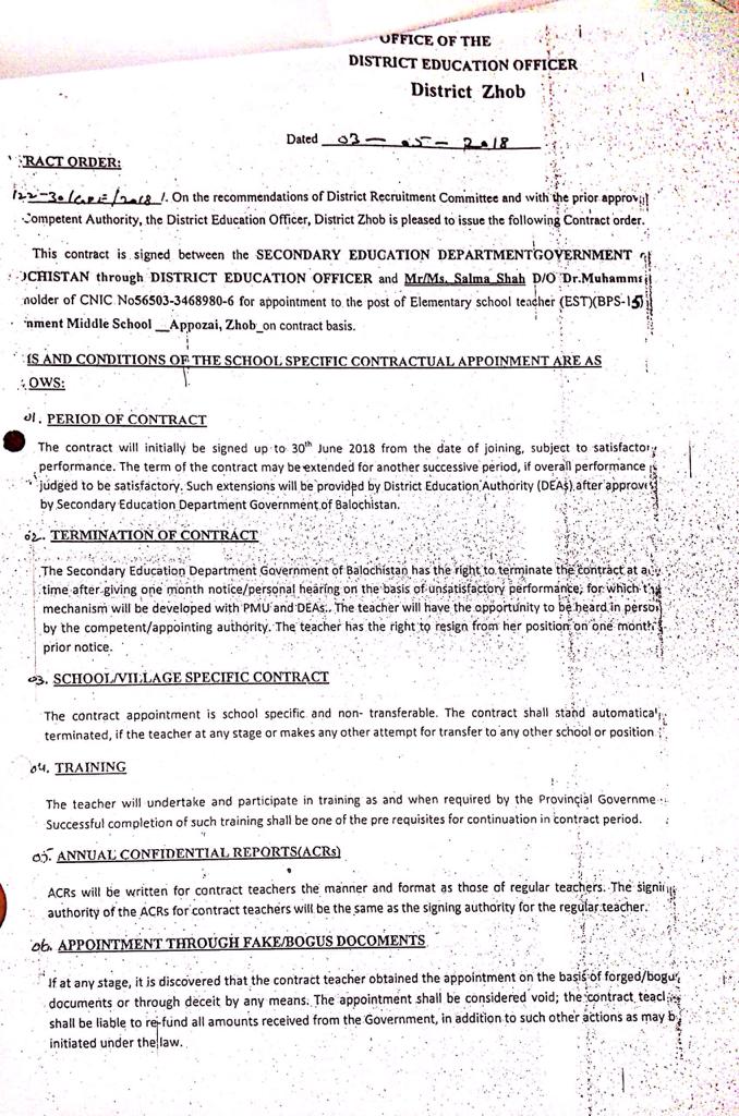
| Salma Shah | Dr. Muhammad Shah | EST | BA | Yes | Yes | Yes | |||
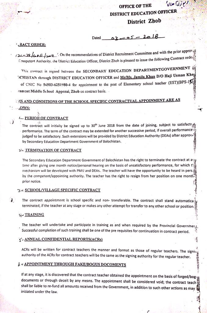
| Jamila Khan | Haji Usman Khan | EST | BA | Yes | Yes | Yes |
| Name | Designation | Contact | Trained |
|---|---|---|---|
| Wazir Khan | Chairman | Yes | |
| Sami Ullah | Member | Yes | |
| Rustom Khan | Member | Yes | |
| Spozmai | G.Secretary | Yes | |
| Farid | Member | Yes | |
| Salma | Member | Yes | |
| Molvi Asad Ullah | Member | Yes |
Notiļ¬cations
Land Mutation
PTSMC Member Notification
Teacher Contract
Construction Works Stage Wise Updates
Stage-1
Stage-2
Stage-3
Stage-4
Stage-5
Handing Over Certificate
GRN Notiļ¬cations
Furniture GRN Notification
Classroom Articles GRN Notification
SportS GRN Notification
Laboratory Equipments GRN Notification
ICT Lab GRN
Soloar Power Supply GRN