| Region | District | Tehsil | UC | Abandon | Level | BEMIS | Latitude | Longitude | Budget |
|---|---|---|---|---|---|---|---|---|---|
| 1 | Pishin | Pishin | Saranan | No | Primary | 17886 | 30.6417 | 66.8839 |
| PTSMC Notified | Land Mutation | PTSMCTrained | School Opening Date | Initial Enrollment | BEMIS Alloted |
|---|---|---|---|---|---|
| Yes | Yes | 5 | 2017-09-06 | 96 | Yes |
| Fitness/Topgraphic Survey | Water Test | Soil Test | D/ND Test | Completion Certificate | Current Stage |
| Yes | Yes | Yes | N/A | Yes | 5 |
| Furniture | Blackboard | TLM Kit | ECE Supply | ECE TLM | Wash Kit | First Aid | Sports Goods | Labortory | ICT Supply |
|---|---|---|---|---|---|---|---|---|---|
| Yes | Yes | Yes | Yes | Yes | Yes | Yes | No | No | No |
| Class Name | Attend Reg Girls | Attend Reg Boys | Attend Reg Total | Head Count Girls | Head Count Boys | HeadcountTotal |
|---|---|---|---|---|---|---|
| Kachi | 41 | 41 | 82 | 24 | 29 | 53 |
| Class 1 | 0 | 5 | 5 | 0 | 2 | 2 |
| Class 2 | 0 | 0 | 0 | 0 | 0 | 0 |
| Class 3 | 0 | 0 | 0 | 0 | 0 | 0 |
| Class 4 | 0 | 0 | 0 | 0 | 0 | 0 |
| Class 5 | 0 | 0 | 0 | 0 | 0 | 0 |
| Total | 41 | 46 | 87 | 24 | 31 | 55 |
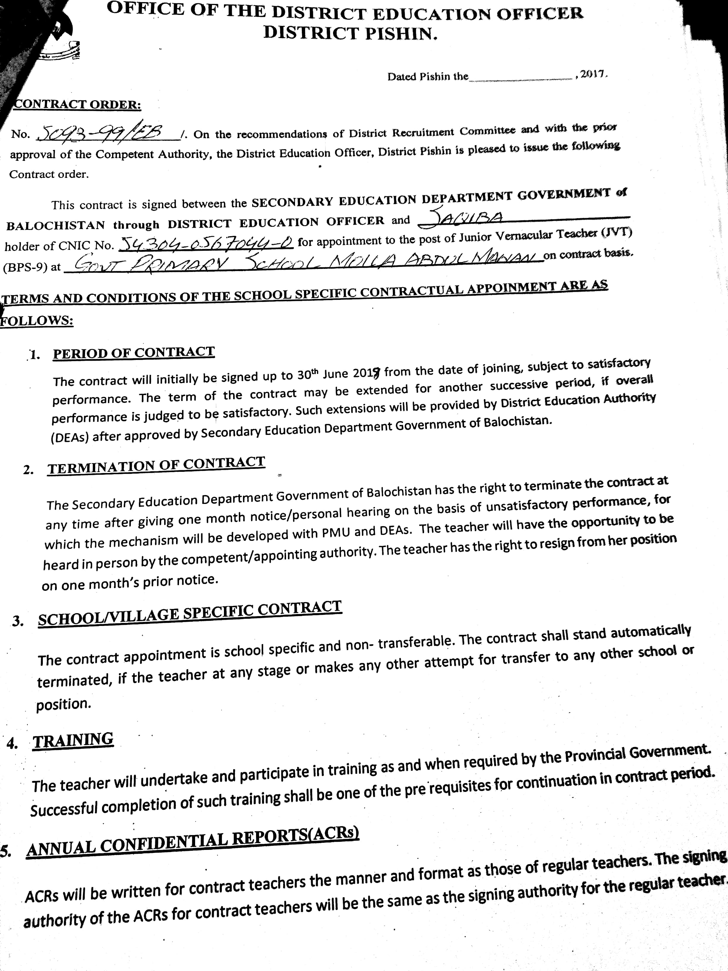
| Teacher's Name | Father's Name | Husband's Name | Post | Academic Qualification | Professional Qualification | Contract Award | Date Of Joining | Trained On PTSMC | Trained On Domain |
|---|---|---|---|---|---|---|---|---|---|
| Bakht Zamina | Wazir Mohammad | JVT | BSc | PTC | Yes | 2017-08-01 | Yes | Yes | |
| Saqiba | Khairuddin | JVT | BA | PTC | Yes | 2017-08-01 | Yes | Yes |
| Name | Designation | Contact | Trained |
|---|---|---|---|
| Khatr | Member | 03063890538 | Yes |
| Rozi Khan | President | 03130841691 | Yes |
| Akhter Muhmmad | V.President | 03168103336 | Yes |
| Rozi Khan | Member | 03128012273 | Yes |
| Bakht Zamina | G.Secretry | 03337970498 | Yes |
Notiļ¬cations
Land Mutation
PTSMC Member Notification
Teacher Contract
Construction Works Stage Wise Updates
Stage-1
Stage-2
Stage-3
Stage-4
Stage-5
Handing Over Certificate
GRN Notiļ¬cations
Furniture GRN Notification
Classroom Articles GRN Notification