| Region | District | Tehsil | UC | Abandon | Level | BEMIS | Latitude | Longitude | Budget |
|---|---|---|---|---|---|---|---|---|---|
| 2 | Lasbela | Uthal | Wayara | No | Primary | 17718 | 25.897141 | 66.606365 |
| PTSMC Notified | Land Mutation | PTSMCTrained | School Opening Date | Initial Enrollment | BEMIS Alloted |
|---|---|---|---|---|---|
| Yes | Yes | 5 | 2017-02-01 | 68 | Yes |
| Fitness/Topgraphic Survey | Water Test | Soil Test | D/ND Test | Completion Certificate | Current Stage |
| Yes | Yes | No | N/A | Yes | 5 |
| Furniture | Blackboard | TLM Kit | ECE Supply | ECE TLM | Wash Kit | First Aid | Sports Goods | Labortory | ICT Supply |
|---|---|---|---|---|---|---|---|---|---|
| Yes | Yes | Yes | Yes | Yes | Yes | Yes | No | No | No |
| Class Name | Attend Reg Girls | Attend Reg Boys | Attend Reg Total | Head Count Girls | Head Count Boys | HeadcountTotal |
|---|---|---|---|---|---|---|
| Kachi | 16 | 23 | 39 | 15 | 19 | 34 |
| Class 1 | 13 | 11 | 24 | 10 | 10 | 20 |
| Class 2 | 5 | 1 | 6 | 5 | 1 | 6 |
| Class 3 | 4 | 3 | 7 | 3 | 3 | 6 |
| Class 4 | 2 | 0 | 2 | 1 | 0 | 1 |
| Class 5 | 0 | 0 | 0 | 0 | 0 | 0 |
| Total | 40 | 38 | 78 | 34 | 33 | 67 |
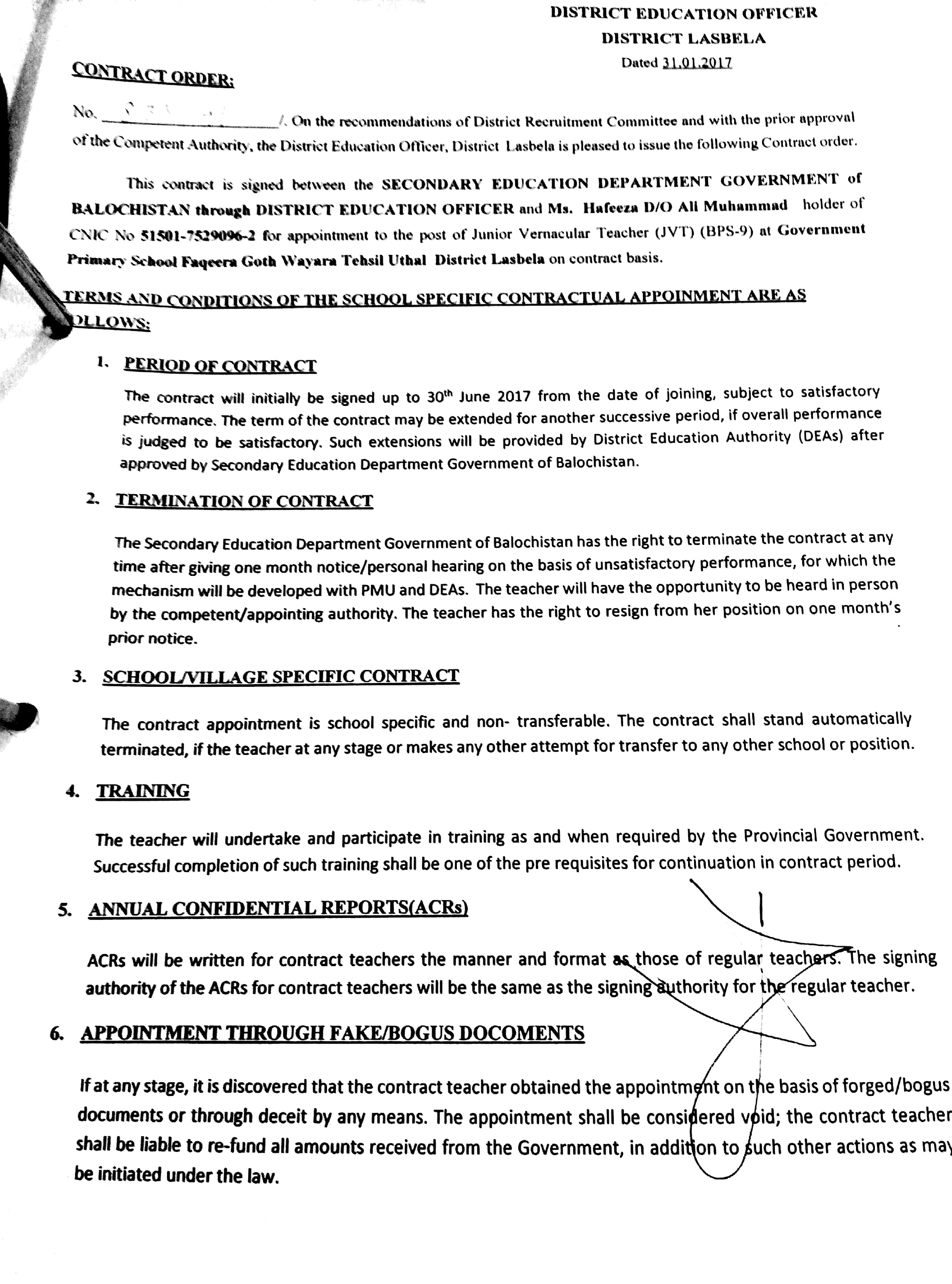
| Teacher's Name | Father's Name | Husband's Name | Post | Academic Qualification | Professional Qualification | Contract Award | Date Of Joining | Trained On PTSMC | Trained On Domain |
|---|---|---|---|---|---|---|---|---|---|
| HAFEEZA | MUHAMMAD ALI | JVT | Graduation | M.Ed | Yes | 2017-02-01 | Yes | Yes | |
| Sadia | Ghulam Mohammad | JVT | Intermadiate | PTC | Yes | 2018-09-29 | Yes |
| Name | Designation | Contact | Trained |
|---|---|---|---|
| Ghulam Qadir | President | 03128028053 | Yes |
| Hafeeza | General Secretary | 03442795198 | Yes |
| Mohammad Hashim | Member | Yes | |
| Mohammad Aslam | Member | Yes | |
| Abdul Jalil | Member | Yes |
Notiļ¬cations
Land Mutation
PTSMC Member Notification
Teacher Contract
Construction Works Stage Wise Updates
Stage-1
Stage-2
Stage-3
Stage-4
Stage-5
Handing Over Certificate
GRN Notiļ¬cations
Furniture GRN Notification
Classroom Articles GRN Notification