| Region | District | Tehsil | UC | Abandon | Level | BEMIS | Latitude | Longitude | Budget |
|---|---|---|---|---|---|---|---|---|---|
| 2 | Lasbela | Uthal | Khenwari | No | Primary | 17720 | 25.69086 | 66.663655 |
| PTSMC Notified | Land Mutation | PTSMCTrained | School Opening Date | Initial Enrollment | BEMIS Alloted |
|---|---|---|---|---|---|
| Yes | Yes | 5 | 2017-02-01 | 65 | Yes |
| Fitness/Topgraphic Survey | Water Test | Soil Test | D/ND Test | Completion Certificate | Current Stage |
| Yes | Yes | No | N/A | Yes | 5 |
| Furniture | Blackboard | TLM Kit | ECE Supply | ECE TLM | Wash Kit | First Aid | Sports Goods | Labortory | ICT Supply |
|---|---|---|---|---|---|---|---|---|---|
| Yes | Yes | Yes | Yes | Yes | Yes | Yes | No | No | No |
| Class Name | Attend Reg Girls | Attend Reg Boys | Attend Reg Total | Head Count Girls | Head Count Boys | HeadcountTotal |
|---|---|---|---|---|---|---|
| Kachi | 24 | 15 | 39 | 24 | 14 | 38 |
| Class 1 | 5 | 1 | 6 | 4 | 10 | 14 |
| Class 2 | 0 | 4 | 4 | 0 | 0 | 0 |
| Class 3 | 0 | 2 | 2 | 0 | 1 | 1 |
| Class 4 | 0 | 0 | 0 | 0 | 0 | 0 |
| Class 5 | 0 | 0 | 0 | 0 | 0 | 0 |
| Total | 29 | 22 | 51 | 28 | 25 | 53 |
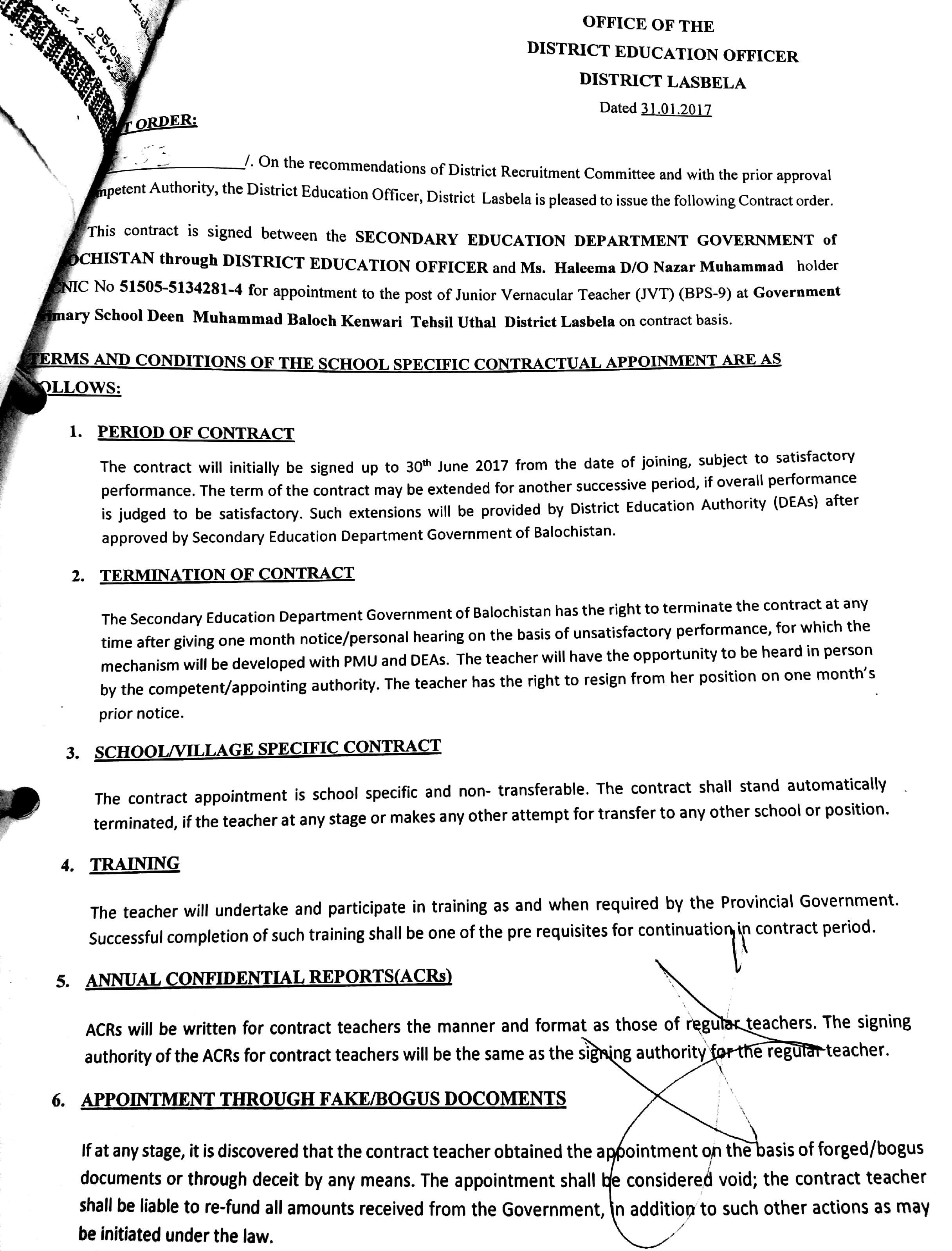
| Teacher's Name | Father's Name | Husband's Name | Post | Academic Qualification | Professional Qualification | Contract Award | Date Of Joining | Trained On PTSMC | Trained On Domain |
|---|---|---|---|---|---|---|---|---|---|
| HALEEMA | NAZEER MUHAMMAD | JVT | Intermadiate | PTC | Yes | 2017-02-01 | Yes | Yes | |
| Perven | Idayatullah | JVT | Intermadiate | Yes | 2018-09-29 | Yes |
| Name | Designation | Contact | Trained |
|---|---|---|---|
| Mohammad Khan | President | 03118002719 | Yes |
| Haleema | General Secretary | 03458861300 | Yes |
| Mohammad Iqbal | Member | 034511225333 | Yes |
| Ijaaz Ahmad | Member | 03119336450 | Yes |
| Ghulam Qadir | Member | 03478629480 | Yes |
Notiļ¬cations
Land Mutation
PTSMC Member Notification
Teacher Contract
Construction Works Stage Wise Updates
Stage-1
Stage-2
Stage-3
Stage-4
Stage-5
Handing Over Certificate
GRN Notiļ¬cations
Furniture GRN Notification
Classroom Articles GRN Notification